Foram encontradas 50 questões.
Provas
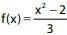
é uma função que representa o
custo (em milhares de reais) de um hotel em função
do número de funcionários (x) e
é uma
função que representa o número de funcionários
que o hotel deve ter, em função do número de hóspedes
(t), então, o custo (em milhares de reais) que o
hotel tem com funcionários, quando hospeda 6 pessoas
é de:Provas
Adaptado de: http://veja.abril.com.br/especiais/jovens_2003/p_038.html)
Esse tipo de ponderação é o que leva à maturidade.
Observe as afirmativas abaixo.
1. Em “Se não acham correto” o termo sublinhado indica uma causa.
2. Em “ainda que isso cause divergências” a expressão sublinhada indica uma concessão, no que se refere ao enunciado anterior.
3. Na frase do texto “Ou ele vai contra… ou acata a determinação”, a palavra sublinhada corresponde a uma alternativa.
4.O pronome Esse, em “Esse conflito é importante” e “Esse tipo de ponderação”, é demonstrativo e funciona como elemento de coesão.
5. Em “o que leva” o termo sublinhado é artigo definido, com valor de pronome oblíquo.
Assinale a alternativa que indica todas as afirmativas corretas.
Provas
É importante que os pais estabeleçam limites para os jovens. Se não acham correto que a garotada beba, devem dizer abertamente, ainda que isso cause divergências. Esse conflito é importante para o amadurecimento do adolescente. Diante de uma negativa, o jovem é obrigado a tomar uma decisão. Ou ele vai contra os pais e segue por sua conta e risco, arcando com as consequências, ou acata a determinação. Esse tipo de ponderação é o que leva à maturidade.
Adaptado de:
http://veja.abril.com.br/especiais/jovens_2003/p_038.html)
Provas
- MorfologiaVerbosConjugaçãoFlexão Verbal de Modo
- MorfologiaVerbosConjugaçãoFlexão Verbal de Número
- MorfologiaVerbosConjugaçãoFlexão Verbal de Pessoa
- MorfologiaVerbosConjugaçãoFlexão Verbal de Tempo
- Interpretação de Textos
É importante que os pais estabeleçam limites para os jovens. Se não acham correto que a garotada beba, devem dizer abertamente, ainda que isso cause divergências. Esse conflito é importante para o amadurecimento do adolescente. Diante de uma negativa, o jovem é obrigado a tomar uma decisão. Ou ele vai contra os pais e segue por sua conta e risco, arcando com as consequências, ou acata a determinação. Esse tipo de ponderação é o que leva à maturidade.
Adaptado de:
http://veja.abril.com.br/especiais/jovens_2003/p_038.html)
Provas
É importante que os pais estabeleçam limites para os jovens. Se não acham correto que a garotada beba, devem dizer abertamente, ainda que isso cause divergências. Esse conflito é importante para o amadurecimento do adolescente. Diante de uma negativa, o jovem é obrigado a tomar uma decisão. Ou ele vai contra os pais e segue por sua conta e risco, arcando com as consequências, ou acata a determinação. Esse tipo de ponderação é o que leva à maturidade.
Adaptado de:
http://veja.abril.com.br/especiais/jovens_2003/p_038.html)
Provas
Disciplina: Atualidades e Conhecimentos Gerais
Banca: FEPESE
Orgão: CASAN-SC
Nos últimos anos, com o aumento da preocupação com os problemas ambientais, foram criadas em nosso Estado numerosas unidades de conservação, entre as quais podemos citar:
Provas
Disciplina: Atualidades e Conhecimentos Gerais
Banca: FEPESE
Orgão: CASAN-SC
Examine as afirmativas abaixo a respeito do tema.
1. Os terremotos e tsunamis são causados pela ação humana e a inconsequente destruição do meio ambiente.
2. As usinas nucleares são as mais importantes fontes de energia elétrica do Japão.
3. O Brasil, embora livre de terremotos pelas suas características geológicas, sofreu recentemente um grande tsunami que colocou em risco uma das usinas nucleares brasileiras localizadas em Angra dos Reis, no Estado do Rio de Janeiro.
4. O Japão viveu em sua história diversas catástrofes causadas por terremotos, cuja principal causa é a movimentação das placas tectônicas.
Assinale a alternativa que indica todas as afirmativas corretas.
Provas
Disciplina: Atualidades e Conhecimentos Gerais
Banca: FEPESE
Orgão: CASAN-SC
Assinale a alternativa que identifica uma importante razão desses protestos.
Provas

Um de seus primos decidiu abrir um novo negócio. Como ele não dispõe da totalidade dos recursos necessários, optou por oferecer a oportunidade de investimento para seus familiares, prometendo um rendimento composto de 30% a.a. sobre o capital investido.
Hoje você investiu $ 50.000,00 no empreendimento. Quanto espera resgatar em dois anos?
Provas
Caderno Container