Foram encontradas 50 questões.
Provas
Provas
Provas
Sejam os seguintes conjuntos:

O número de elementos de A ∪ B é igual a
Provas
Provas
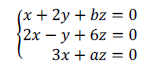
As variáveis x, y e z estão relacionadas conforme o seguinte sistema de equações:

Sabendo que o sistema apresenta mais de uma solução, assinale a alternativa correta.
Provas
Considere a inequação no conjunto dos números reais a seguir

O conjunto de todos os valores de x que satisfazem a inequação é dado por
Provas

Provas
Texto para responder a questão
O CAU
1 O Conselho de Arquitetura e Urbanismo do Brasil –
CAU/BR e os Conselhos de Arquitetura e Urbanismo dos
Estados e do Distrito Federal – CAU/UF foram criados
4 com a Lei no
12.378, de 31 de dezembro de 2010, que
regulamenta o exercício da arquitetura e do urbanismo no
País. Uma conquista histórica para a categoria, que significa
7 maior autonomia e representatividade para a profissão.
Disponível em: <https://www.caumt.gov.br>
Provas
O CAU
O Conselho de Arquitetura e Urbanismo do Brasil – CAU/BR e os Conselhos de Arquitetura e Urbanismo dos Estados e do Distrito Federal – CAU/UF foram criados 4 com a Lei nº 12.378, de 31 de dezembro de 2010, que regulamenta o exercício da arquitetura e do urbanismo no País. Uma conquista histórica para a categoria, que significa maior autonomia e representatividade para a profissão.
Disponível em: <https://www.caumt.gov.br>. Acesso em: 21 jun. 2019, com adaptações.
Considerando a relação entre a linguagem e o propósito principal do texto, é correto afirmar que nele prevalece a função da linguagem denominada
Provas
Caderno Container