Foram encontradas 60 questões.
Considere o enunciado a seguir para responder às questões de nos 24 e 25.
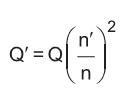
O ventilador de um laboratório gira com n rotações por minuto, sob uma pressão estática H, proporcionando uma vazão Q e absorvendo uma potência motriz N.
Para verificar seu comportamento com n’ rotações por minuto, fez-se um teste com esse ventilador, operando com o mesmo fluido.
Com base nas leis de semelhança, a nova vazão Q’ obedece à seguinte relação:O ventilador de um laboratório gira com n rotações por minuto, sob uma pressão estática H, proporcionando uma vazão Q e absorvendo uma potência motriz N.
Para verificar seu comportamento com n’ rotações por minuto, fez-se um teste com esse ventilador, operando com o mesmo fluido.
Provas
Questão presente nas seguintes provas
Como parte do acompanhamento de manutenção de uma indústria, estão sendo utilizados os indicadores Classe Mundial.
Um desses indicadores é o TMPR – Tempo Médio Para Reparo (MTTR – Mean Time to Repair), que corresponde à relação entre a(o)
Um desses indicadores é o TMPR – Tempo Médio Para Reparo (MTTR – Mean Time to Repair), que corresponde à relação entre a(o)
Provas
Questão presente nas seguintes provas
Os condicionadores de ar do tipo split funcionam com baixo nível de ruído.
PORQUE
Nos condicionadores de ar do tipo split, o compressor fica na parte externa do ambiente a ser climatizado.
Analisando-se as afirmações, conclui-se que
PORQUE
Nos condicionadores de ar do tipo split, o compressor fica na parte externa do ambiente a ser climatizado.
Analisando-se as afirmações, conclui-se que
Provas
Questão presente nas seguintes provas
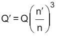
Considere o enunciado a seguir para responder às questões de nos 24 e 25.
O ventilador de um laboratório gira com n rotações por minuto, sob uma pressão estática H, proporcionando uma vazão Q e absorvendo uma potência motriz N.
Para verificar seu comportamento com n’ rotações por minuto, fez-se um teste com esse ventilador, operando com o mesmo fluido.
Com base nas leis de semelhança, a nova potência motriz N’ obedece à seguinte relação:O ventilador de um laboratório gira com n rotações por minuto, sob uma pressão estática H, proporcionando uma vazão Q e absorvendo uma potência motriz N.
Para verificar seu comportamento com n’ rotações por minuto, fez-se um teste com esse ventilador, operando com o mesmo fluido.
Provas
Questão presente nas seguintes provas
Há filtros que funcionam segundo o fenômeno físico de adsorção molecular, sendo, por isso, os mais indicados para eliminar odores desagradáveis.
Tais filtros são os
Tais filtros são os
Provas
Questão presente nas seguintes provas
No mercado, há diversos modelos de dampers. Alguns deles têm como principal finalidade o isolamento de determinadas áreas contra a propagação de fogo e fumaça.
Outros modelos, porém, têm como principal finalidade
Outros modelos, porém, têm como principal finalidade
Provas
Questão presente nas seguintes provas
Considere o sistema de refrigeração por compressão
de vapor ideal, ilustrado na figura, para responder às
questões de nos 39 e 40.

No ponto 4, o refrigerante se encontra no estado dede vapor ideal, ilustrado na figura, para responder às
questões de nos 39 e 40.

Provas
Questão presente nas seguintes provas
O protetor de ilhós é também um item referente à segurança dos elevadores.
Com uma função específica, ele é um dispositivo de utilização obrigatória em
Com uma função específica, ele é um dispositivo de utilização obrigatória em
Provas
Questão presente nas seguintes provas
Elevadores possuem um freio de segurança para situações de emergência.
Esse freio de segurança tem, necessariamente, um acionamento
Esse freio de segurança tem, necessariamente, um acionamento
Provas
Questão presente nas seguintes provas
Os dutos representam, em custo médio, cerca de 25% de toda instalação. Para o dimensionamento dos dutos, é preciso levar em consideração três fatores: o volume de ar a ser circulado, a velocidade de ar através dos dutos e a resistência a ser vencida no duto.
Relacione os métodos utilizados no dimensionamento de dutos com suas respectivas características, apresentadas a seguir.

As associações corretas são:
Relacione os métodos utilizados no dimensionamento de dutos com suas respectivas características, apresentadas a seguir.

As associações corretas são:
Provas
Questão presente nas seguintes provas
Cadernos
Caderno Container