Foram encontradas 60 questões.
Analise as afirmativas abaixo com relação às redes de distribuição compactas.
1. As redes compactas são atualmente as mais utilizadas no Brasil para construção de novos alimentadores em áreas urbanas.
2. A rede compacta é composta por condutores isolados.
3. A rede compacta traz benefícios ambientais e reduz os custos com manutenção, visto que a área de poda é reduzida.
Assinale a alternativa que indica todas as afirmativas corretas.
Provas
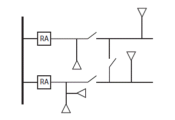
A figura abaixo mostra uma configuração de redes aéreas de distribuição.

Qual a configuração apresentada na figura?
Provas
Assinale a alternativa que apresenta o instrumento para medição de isolação elétrica.
Provas
Identifique abaixo as afirmativas verdadeiras ( V ) e as falsas ( F ) com relação à manutenção preventiva de medidores de energia.
( ) O consumidor deverá informar à distribuidora a necessidade de manutenção corretiva, quando verificar defeito ou problema no sistema de medição.
( ) A distribuidora não poderá realizar as ações corretivas necessárias no sistema de medição instalado internamente à unidade consumidora.
( ) Ao término da manutenção, a distribuidora deverá lacrar os pontos do sistema de medição cujos lacres foram rompidos.
( ) Em caso de substituição do medidor, o novo medidor deverá iniciar com a mesma medida do medidor que foi substituído.
Assinale a alternativa que indica a sequência correta, de cima para baixo.
Provas
Assinale a alternativa correta.
Provas
Analise as afirmativas abaixo com relação aos transformadores de potencial (TP) e de corrente (TC).
1. Transformadores de potencial são utilizados para reduzir os níveis de tensão e, portanto, podem ser utilizados medidores que suportem menores tensões.
2. Transformadores de potencial e de corrente sempre devem ser colocados em paralelo com o ponto de medição.
3. Transformadores de potencial e de corrente são utilizados principalmente em sistemas de medição e de proteção.
Assinale a alternativa que indica todas as afirmativas corretas.
Provas
Assinale a alternativa que apresenta corretamente o significado da descrição True RMS em um multímetro.
Provas

Provas
Considere as afirmativas abaixo em relação ao arco-voltaico.
1. Ao abrir um seccionador com carga fortemente indutiva, haverá arco-voltaico nos terminais do seccionador.
2. Caso o seccionador esteja aberto, em nenhuma hipótese haverá arco-voltaico no fechamento dele.
3. Em sistemas de baixa tensão, não há risco de ocorrência de arco-voltaico.
Assinale a alternativa que indica todas as afirmativas corretas.
Provas
Assinale a alternativa que apresenta somente cargas com baixo fator de potência.
Provas
Caderno Container