Foram encontradas 45 questões.
Com base nos procedimentos de distribuição (Prodist), da ANEEL, assinale a alternativa incorreta.
Provas
Com base nos procedimentos de distribuição (Prodist), da ANEEL, assinale com V as afirmativas verdadeiras e com F as falsas.
( ) Entre os fenômenos de regime permanente que afetam a onda de tensão do sistema de distribuição estão os desequilíbrios de tensão, as variações de frequência, o fator de potência e os harmônicos.
( ) Entre os fenômenos de regime transitório que afetam a onda de tensão do sistema de distribuição estão as variações de tensão de curta duração e as flutuações de tensão.
( ) As distorções harmônicas são fenômenos associados a deformações nas formas de onda de tensão e corrente e levam à redução do fator de potência do sistema.
( ) O desequilíbrio de tensão é o fenômeno caracterizado por qualquer diferença nas amplitudes das três tensões ou nas defasagens elétricas de 120° entre as tensões de fase do sistema.
Assinale a sequência correta.
Provas
Com base nos procedimentos de distribuição (Prodist), da ANEEL, assinale a alternativa incorreta.
Provas
Com base no Módulo 5 dos Procedimentos de Rede do Operador Nacional do Sistema, numere a COLUNA II de acordo com a COLUNA I, indicando as responsabilidades dos agentes apresentados.
COLUNA I
1. Centro Nacional de Operação do Sistema – CNOS
2. Centro Regional de Operação do Sistema – COSR
3. Agentes de geração
4. Atentes de transmissão
5. Agentes de distribuição
COLUNA II
( ) Executar as ações determinadas no PDO (plano diário de operação).
( ) Informar aos COSR as variações de carga que afetem a frequência do sistema.
( ) Supervisionar, controlar, comandar e executar a operação do CAG (controle automático de geração) e as reduções e elevações de geração exclusivamente nas usinas da rede de operação conectadas a um CAG.
( ) Informar aos COSR as limitações em equipamentos, os horários de início e término das intervenções, as manobras e ocorrências no sistema de transmissão.
( ) Coordenar, supervisionar e controlar ações para alocação de reserva de potência operativa.
Assinale a sequência correta.
Provas
Com base nos procedimentos de distribuição (Prodist), da ANEEL, assinale a alternativa incorreta.
Provas
Com base na ND 5.30 da Cemig, assinale com V as afirmativas verdadeiras e com F as falsas.
( ) Os acessantes consumidores atendidos em instalações de edificações individuais com fornecimento em BT que necessitem conectar minigeração deverão migrar para o fornecimento em MT, seguindo os requisitos previstos na norma Cemig D ND 5.31.
( ) Para os casos de aluguel, cessão ou arrendamento de áreas, telhados ou estruturas para instalação de microgeração em edificações coletivas e agrupamentos, deverá ser criada unidade consumidora adicional para conexão da usina.
( ) Em um empreendimento com múltiplas unidades consumidoras (EMUC), o sistema de microgeração distribuída deverá ser conectado em unidade consumidora exclusiva para a microgeração ou por meio de unidade consumidora de titularidade do responsável ou síndico do condomínio.
( ) O sistema de geração distribuída deve cessar o fornecimento de energia à rede, por meio da abertura do elemento de desconexão, em até 10 segundos após a perda da rede (ilhamento).
Assinale a sequência correta.
Provas
Disciplina: Legislação Específica das Agências Reguladoras
Banca: FUNDEP
Orgão: CEMIG
Com base Resolução Normativa 1.059 da ANEEL, assinale a alternativa incorreta.
Provas
Com base na Norma Brasileira ABNT NBR 5410, assinale a alternativa incorreta.
Provas
A seguir é apresentada a forma de onda da tensão de saída (V!$ d\alpha !$) de um retificador a tiristores, conectado a uma rede monofásica com tensão eficaz igual a 127 V. A ponte retificadora opera com um ângulo de disparo igual a !$ \alpha !$.
O valor médio da tensão V!$ d\alpha !$, em função do ângulo !$ \alpha !$, é igual a:
Provas
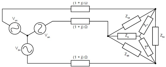
Considere o circuito trifásico, operando em 60 Hz, conforme a figura a seguir. As tensões das fontes são Van = 127!$ \angle !$ 0°V, Vbn = 127!$ \angle !$−120°V e Vcn = 127!$ \angle !$120°V. As impedâncias de linha são equilibradas e iguais a (1+j) !$ \Omega !$. Além disso, as impedâncias das cargas são Zab = Zbc = Zca = 9+6j!$ \Omega !$ e Za = Zb = Zc = 12+6 j!$ \Omega !$.

A potência complexa fornecida pela fonte Van é igual a:
Provas
Caderno Container