Foram encontradas 108 questões.
O carvão ativo possui uma enorme área superficial,
cerca de 1 milhão de centímetros quadrados por
grama, dependendo da amostra. Além disso,
apresenta a propriedade de retenção seletiva de
moléculas polares, como gases venenosos e
substâncias químicas tóxicas, sendo muito utilizado em
máscaras contra gases tóxicos (laboratórios) ou
venenosos (guerras). São várias as suas aplicações,
incluindo a purificação de água potável.
Com relação à descrição do texto acima, três afirmações foram feitas:
1) A adsorção é a propriedade que certos materiais têm de reter partículas (íons ou moléculas) de outros materiais em sua superfície.
2) A absorção é a propriedade que certos materiais têm de reter partículas (íons ou moléculas) de outros materiais em seu interior.
3) A platina metálica é muito utilizada como catalisador em reações de hidrogenação devido à propriedade de absorção do gás hidrogênio.
Está(ão) correta(s) a(s) afirmativa(s):
Com relação à descrição do texto acima, três afirmações foram feitas:
1) A adsorção é a propriedade que certos materiais têm de reter partículas (íons ou moléculas) de outros materiais em sua superfície.
2) A absorção é a propriedade que certos materiais têm de reter partículas (íons ou moléculas) de outros materiais em seu interior.
3) A platina metálica é muito utilizada como catalisador em reações de hidrogenação devido à propriedade de absorção do gás hidrogênio.
Está(ão) correta(s) a(s) afirmativa(s):
Provas
Questão presente nas seguintes provas
- Química OrgânicaCadeias Carbônicas
- Química OrgânicaFunções Nitrogenadas: Amina, Amida, Nitrila, Isonitrila e Nitro Composto
- Química OrgânicaFunções Oxigenadas: Cetona, Aldeído, Éter, Éster, Ácido Carboxílico etc.
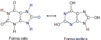
A gota ou artrite gotosa, chamada popularmente de
reumatismo nos pés, é uma doença inflamatória
causada pelo excesso de ácido úrico no sangue, que
causa muita dor nas articulações. Os sintomas incluem
o inchaço, a vermelhidão e a dor ao movimentar uma
articulação, sendo que a mais afetada, geralmente, é a
do dedão do pé. O ácido úrico apresenta duas
estruturas equivalentes, sendo a forma enólica a
menos estável:
De acordo com a forma enólica do ácido úrico, é correto afirmar que:
De acordo com a forma enólica do ácido úrico, é correto afirmar que:
Provas
Questão presente nas seguintes provas
- Química InorgânicaSoluções e Substâncias InorgânicasSoluções: características, tipos de concentração, diluição, mistura, titulação e soluções coloidais
Os refrigerantes são ricos em açúcar, o que prejudica a boa forma e traz o surgimento de cáries, principalmente nas crianças. Além disso, estudos científicos relatam que a ingestão de bebidas diet, em longo prazo, pode causar aumento de até 70% na circunferência abdominal, devido ao acúmulo da gordura visceral no corpo. Em geral, o refrigerante é engarrafado após ser saturado com CO2(g), a 5°C e 1 atm de pressão. Qual é o volume de gás CO2 liberado de 1 litro de refrigerante, após atingir a temperatura de 30°C, ser aberto e agitado?
Dados: massas molares em g.mol-1 : C = 12; O = 16. Volume molar dos gases a 1 atm e 30°C = 25 L.mol-1 . Solubilidade do CO2(g) no refrigerante a 5°C e sob 1 atm de CO2(g) = 3,0 g.L-1 .
Dados: massas molares em g.mol-1 : C = 12; O = 16. Volume molar dos gases a 1 atm e 30°C = 25 L.mol-1 . Solubilidade do CO2(g) no refrigerante a 5°C e sob 1 atm de CO2(g) = 3,0 g.L-1 .
Provas
Questão presente nas seguintes provas
- Química OrgânicaCadeias Carbônicas
- Química OrgânicaFunções Nitrogenadas: Amina, Amida, Nitrila, Isonitrila e Nitro Composto
- Química OrgânicaFunções Oxigenadas: Cetona, Aldeído, Éter, Éster, Ácido Carboxílico etc.
A gema do ovo é um dos principais reservatórios de
colina, uma vitamina que, no cérebro, tem a função de
processar e guardar lembranças. A partir da colina, o
neurotransmissor acetilcolina é sintetizado. Esse
neurotransmissor tem um papel importante no sistema
nervoso central, ligado à memória e à aprendizagem.
Sabendo que a acetilcolina apresenta a seguinte
fórmula estrutural:
é correto afirmar que este composto:
é correto afirmar que este composto:
Provas
Questão presente nas seguintes provas
Os antiácidos são substâncias utilizadas para diminuir a quantidade de ácido clorídrico do estômago. Várias substâncias podem ser utilizadas com essa finalidade. Uma delas é o óxido de magnésio, que reage com o ácido clorídrico de acordo com a equação química:
MgO(s) + 2 HCl(aq) → MgCl2(aq) + H2O(l)
Calcule a massa de óxido de magnésio necessária para neutralizar 0,06 mol de ácido clorídrico contido no estômago de uma pessoa.
Dados: massas molares em g.mol-1 : H = 1; O = 16; Cl = 35,5; Mg = 24,3.
MgO(s) + 2 HCl(aq) → MgCl2(aq) + H2O(l)
Calcule a massa de óxido de magnésio necessária para neutralizar 0,06 mol de ácido clorídrico contido no estômago de uma pessoa.
Dados: massas molares em g.mol-1 : H = 1; O = 16; Cl = 35,5; Mg = 24,3.
Provas
Questão presente nas seguintes provas
O organismo humano realiza reações químicas, a todo
momento, para regular todos os sistemas do corpo,
como, por exemplo: o neurológico, o endócrino, o
cardíaco, o imunológico etc. O desequilíbrio dessas
reações pode gerar o estresse que culmina com a
formação de radicais livres, aumento ou diminuição de
peso, doenças cardíacas, pulmonares e também
neurológicas. O equilíbrio químico é fundamental para
a saúde do corpo e da mente.
Para o sistema em equilíbrio abaixo:
são dados os valores de constante de equilíbrio, Kc, em diferentes temperaturas:
De acordo com os dados fornecidos, é correto afirmar:
Para o sistema em equilíbrio abaixo:
são dados os valores de constante de equilíbrio, Kc, em diferentes temperaturas:
De acordo com os dados fornecidos, é correto afirmar:
Provas
Questão presente nas seguintes provas
A reciclagem do alumínio pode ser realizada através
do processo de fusão do metal ou através da sua
transformação em alúmen. O alúmen [KAl(SO4)2] é um
material comumente usado para purificação de água,
curtimento de couro, tingimento, fabricação de têxteis à
prova de fogo e fermento em pó. Ele também tem uso
cosmético como desodorante e solução pós-barba. A
preparação do alúmen, a partir da sucata de alumínio,
ocorre em três etapas, de acordo com as equações
das reações abaixo:
2 Al(s) + 2 KOH(aq) + 6 H2O(l) → 2 KAl(OH)4(aq) + 3 H2(g) (etapa 1)
2 KAl(OH)4(aq)+ H2SO4(aq) → 2 Al(OH)3(s) + 2 H2O(l) + K2SO4(aq) (etapa 2)
2 Al(OH)3(s)+3 H2SO4(aq)+K2SO4(aq) → 2 KAl(SO4)2(s) + 6 H2O(l) (etapa 3)
a Al(s)+b KOH(aq)+c H2SO4(aq) →d KAl(SO4)2(s)+e H2O(l)+f H2(g) (reação total)
Após realizar o balanceamento da equação da reação total, assinale a alternativa que indica o somatório dos índices (a+b+c+d+e+f).
2 Al(s) + 2 KOH(aq) + 6 H2O(l) → 2 KAl(OH)4(aq) + 3 H2(g) (etapa 1)
2 KAl(OH)4(aq)+ H2SO4(aq) → 2 Al(OH)3(s) + 2 H2O(l) + K2SO4(aq) (etapa 2)
2 Al(OH)3(s)+3 H2SO4(aq)+K2SO4(aq) → 2 KAl(SO4)2(s) + 6 H2O(l) (etapa 3)
a Al(s)+b KOH(aq)+c H2SO4(aq) →d KAl(SO4)2(s)+e H2O(l)+f H2(g) (reação total)
Após realizar o balanceamento da equação da reação total, assinale a alternativa que indica o somatório dos índices (a+b+c+d+e+f).
Provas
Questão presente nas seguintes provas
A química ambiental procura, entre outras coisas,
avaliar formas de atenuar a emissão de substâncias
gasosas que depreciam a qualidade do ar. Neste
contexto, a reação entre os gases monóxido de
carbono e oxigênio para produzir dióxido de carbono, é
muito estudada:
Quando 1 mol de oxigênio molecular é consumido, quantos mols de elétrons são transferidos nesta reação redox?
Quando 1 mol de oxigênio molecular é consumido, quantos mols de elétrons são transferidos nesta reação redox?
Provas
Questão presente nas seguintes provas
O relógio de carbono, utilizado para datação de
objetos antigos, baseia-se na desintegração radioativa
do isótopo
(emissor de partículas
com tempo
de meia-vida de 5.730 anos), de acordo com a
equação da reação:

Qual é a substância X formada após a desintegração do isótopo
?
(emissor de partículas
com tempo
de meia-vida de 5.730 anos), de acordo com a
equação da reação: 
Qual é a substância X formada após a desintegração do isótopo
?Provas
Questão presente nas seguintes provas
Os carboidratos (1) são polímeros de glicose, principal
fonte de energia dos seres vivos. As proteínas (2) são
substâncias formadas pela reação de polimerização
(via condensação) de um número muito grande de α-
aminoácidos. As gorduras ou lipídeos (3) são ésteres
de ácidos graxos produzidos por processos orgânicos,
tanto nos animais como nos vegetais, e servem para o
armazenamento de energia, além de outras funções.
De acordo com as fórmulas estruturais genéricas
desses compostos:
1, 2 e 3 são os principais constituintes nutricionais dos alimentos a seguir, respectivamente:
1, 2 e 3 são os principais constituintes nutricionais dos alimentos a seguir, respectivamente:
Provas
Questão presente nas seguintes provas
Cadernos
Caderno Container