Foram encontradas 371 questões.
Assinale a opção que indica uma condição necessária para a origem de um passivo em uma entidade do setor público, de acordo com a NBC TSP Estrutura Conceitual- Estrutura Conceitual para Elaboração e Divulgação de Informação Contábil de Propósito Geral pelas Entidades do Setor Público.
Provas
Ativo é um recurso controlado no presente pela entidade como resultado de evento passado.
Analise se, para avaliar se a entidade controla o recurso no presente, deve ser observada a existência dos seguintes indicadores de controle:
I. Propriedade legal.
II. Acesso ao recurso ou a capacidade de negar ou restringir o acesso a esses.
III. Meios que asseguram que o recurso é utilizado para alcançar os seus objetivos.
IV. Existência de direito legítimo ao potencial de serviços ou à capacidade para gerar os benefícios econômicos advindos do recurso.
Estão corretos os indicadores
Provas
Avalie se, de acordo com a NBC TSP Estrutura Conceitual-Estrutura Conceitual para Elaboração e Divulgação de Informação Contábil de Propósito Geral pelas Entidades do Setor Público, as características-chave de uma entidade do setor público que reporta a informação contábil incluem:
I. ser uma entidade que capta recursos da sociedade ou em nome desta e/ou utiliza recursos para realizar atividades em benefício dela.
II. ser uma entidade com personalidade jurídica específica definida em contrato.
III. existirem usuários de serviços ou provedores de recursos dependentes de informações contidas no Relatório Contábil de Propósito Geral das Entidades do Setor Público para fins de prestação de contas e responsabilização e tomada de decisão.
Está correto o que se afirma em
Provas
Dentre as características qualitativas da informação incluída no Relatório Contábil de Propósito Geral das Entidades do Setor Público está a representação fidedigna. A representação fidedigna é alcançada quando a representação do fenômeno é completa, neutra e livre de erro material.
Uma informação contábil neutra é uma informação
Provas
A NBC TSP Estrutura Conceitual- Estrutura Conceitual para Elaboração e Divulgação de Informação Contábil de Propósito Geral pelas Entidades do Setor Público, afirma que muitos programas do setor público são de longo prazo e a capacidade para cumprir os compromissos depende
Provas
Com relação à dedução de receita orçamentária, considere os itens a seguir:
I. Renúncia de receita orçamentária.
II. Restituição de receitas recebidas a maior ou indevidamente.
III. Recursos que o ente tenha a competência de arrecadar, mas que pertencem a outro ente, de acordo com a legislação vigente.
No âmbito da administração pública, e salvo a existência de determinação legal contrária, a dedução de receita orçamentária é o procedimento padrão a ser usado em
Provas
Em uma entidade do setor público, as despesas orçamentárias relacionadas a serviços de consultoria e a planejamento e execução de obras são classificados, respectivamente, como
Provas
O tratamento de dados pessoais cujo acesso é público deve considerar a finalidade, a boa-fé e o interesse público que justificaram sua disponibilização.
Em tema de requisitos para o tratamento de dados pessoais, segundo a Lei Geral de Proteção de Dados Pessoais – LGPD), o tratamento de dados pessoais somente poderá ser realizado em algumas hipóteses.
Essas hipóteses são apresentadas nas opções a seguir, à exceção de uma. Assinale-a.
Provas
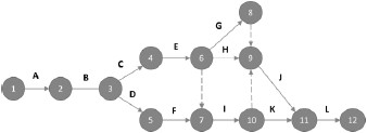
Avalie a rede PERT mostrada na figura a seguir, em que os arcos com traço contínuo indicam as atividades e os círculos indicam os estágios em que uma obra se encontra. Os arcos pontilhados mostram relações de dependência entre os estágios.

A tabela a seguir descreve as atividades e o tempo previsto para realizá-las.

Fonte: adaptado de https://www.guiadaengenharia.com/diagramas-redes-elementos/
Considerando que todas as demais atividades irão durar o tempo previsto, o máximo atraso que a atividade F (execução de piso) pode sofrer sem comprometer o prazo para término da obra, em unidades de tempo, é de
Provas
Pesquisas demonstram que entre os principais fatores de sucesso de projetos encontra-se uma estrutura organizacional adequada e correta. Alguns projetos são sensíveis a mudanças externas em função da sua natureza e de suas relações com o ambiente, como, por exemplo, acontecimentos políticos, econômicos ou ambientais. Esses fatores devem ser levados em conta na avaliação do projeto.
Sobre a avaliação de projetos, analise os itens a seguir:
I. Benchmarking é o termo correntemente aplicado à atividade de comparação entre as melhores práticas e resultados; é definido como “a busca das melhores práticas em um setor de atividades que resultam em desempenho superior”.
II. O relatório de implantação do projeto normalmente é um detalhado enunciado da situação que confirma que as instalações são adequadas e que o projeto foi estabelecido com sucesso, recomendando mudanças maiores que possam ser desejáveis e estabelecendo acordo quanto a seguir adiante.
III. As inspeções de marcos (milestones) são semelhantes às inspeções periódicas, exceto pelo fato de que a atenção concentra-se na consecução de uma determinada meta, ponto de progresso ou no efeito do evento especial que tornou necessária a inspeção.
Está correto o que se afirma em
Provas
Caderno Container