Foram encontradas 210 questões.
903330
Ano: 2015
Disciplina: Direito Penal
Banca: Pref. Rio Janeiro-RJ
Orgão: CGM Rio Janeiro-RJ
Disciplina: Direito Penal
Banca: Pref. Rio Janeiro-RJ
Orgão: CGM Rio Janeiro-RJ
Provas:
De acordo com o expressamente disposto no Código Penal,
quem ordena, autoriza ou realiza operação de crédito, interno
ou externo, com inobservância de limite, condição ou montante
estabelecido em lei ou em resolução do Senado Federal,
incide na mesma pena do crime de:
Provas
Questão presente nas seguintes provas
903329
Ano: 2015
Disciplina: Direito Penal
Banca: Pref. Rio Janeiro-RJ
Orgão: CGM Rio Janeiro-RJ
Disciplina: Direito Penal
Banca: Pref. Rio Janeiro-RJ
Orgão: CGM Rio Janeiro-RJ
Provas:
- Código PenalCrimes Contra a Administração PúblicaPraticados por Funcionário PúblicoPeculato
- Código PenalCrimes Contra a Administração PúblicaPraticados por Funcionário PúblicoCorrupção Passiva
- Código PenalCrimes Contra a Administração PúblicaPraticados por Funcionário PúblicoCondescendência criminosa
- Código PenalCrimes Contra a Administração PúblicaPraticados por Funcionário PúblicoAdvocacia administrativa
De acordo com o expressamente disposto no Código Penal, a
conduta de deixar o funcionário público, por indulgência, de
responsabilizar subordinado que cometeu infração no exercício do cargo ou, quando lhe falte competência, não levar o fato
ao conhecimento da autoridade competente, configura crime
de:
Provas
Questão presente nas seguintes provas
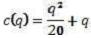
A função custo médio de um fazendeiro é
,
na qual q representa a quantidade. Pode-se, portanto, afirmar
que:
,
na qual q representa a quantidade. Pode-se, portanto, afirmar
que: Provas
Questão presente nas seguintes provas
Seguem as informações de elasticidade-preço da demanda
de dois produtos diferentes:

Estas informações permitem concluir que uma elevação de preço de ambos os bens determinará:

Estas informações permitem concluir que uma elevação de preço de ambos os bens determinará:
Provas
Questão presente nas seguintes provas
Em uma economia hipotética que produz apenas dois bens,
têm-se os seguintes dados:

Pode-se afirmar que o deflator do PIB de 2014 (Ano-Base de 2012) é:

Pode-se afirmar que o deflator do PIB de 2014 (Ano-Base de 2012) é:
Provas
Questão presente nas seguintes provas
Um instrumento importante da política fiscal é o nível de tributação. Quando o governo aumenta os impostos, ele diminui a
renda disponível das famílias. Considere-se que as famílias
poupam parte desta renda perdida, mas também gastam parte
em bens de consumo. Como o aumento dos impostos diminui
a despesa dos consumidores, ocorre um deslocamento da
curva de demanda agregada para a esquerda. A magnitude
desse deslocamento da demanda agregada, como se sabe,
depende do efeito multiplicador. Considerando-se uma propensão
marginal a consumir de 60%, o efeito multiplicador
de uma unidade a menos de consumo sobre o produto nacional
é:
Provas
Questão presente nas seguintes provas
É compatível com um deslocamento para a esquerda da curva
de demanda de um determinado bem, o aumento:
Provas
Questão presente nas seguintes provas
903322
Ano: 2015
Disciplina: Marketing
Banca: Pref. Rio Janeiro-RJ
Orgão: CGM Rio Janeiro-RJ
Disciplina: Marketing
Banca: Pref. Rio Janeiro-RJ
Orgão: CGM Rio Janeiro-RJ
Provas:
A possibilidade de que um evento ocorra e influencie favoravelmente
a realização dos objetivos de uma organização
constitui:
Provas
Questão presente nas seguintes provas
903321
Ano: 2015
Disciplina: Legislação dos Tribunais de Contas
Banca: Pref. Rio Janeiro-RJ
Orgão: CGM Rio Janeiro-RJ
Disciplina: Legislação dos Tribunais de Contas
Banca: Pref. Rio Janeiro-RJ
Orgão: CGM Rio Janeiro-RJ
Provas:
O Parecer do Relatório de Gestão, segundo o Manual de
Auditoria da Controladoria Geral do Município do Rio de Janeiro,
serve de base para a emissão do certificado, portanto a
opinião que nele consta já deve deixar claro o tipo de certificado
que será emitido. Nesse contexto, deve ser emitido, para
os casos em que os exames realizados comprovem que o
objeto auditado está adequado e/ou de acordo com as normas
legais em vigor, o seguinte tipo de certificado:
Provas
Questão presente nas seguintes provas
903320
Ano: 2015
Disciplina: Legislação dos Tribunais de Contas
Banca: Pref. Rio Janeiro-RJ
Orgão: CGM Rio Janeiro-RJ
Disciplina: Legislação dos Tribunais de Contas
Banca: Pref. Rio Janeiro-RJ
Orgão: CGM Rio Janeiro-RJ
Provas:
Segundo o COSO, a estrutura que abrange o órgão
deliberativo, como conselho de administração, conselho consultivo,
sócios, proprietários ou conselho supervisor é a de:
Provas
Questão presente nas seguintes provas
Cadernos
Caderno Container