Foram encontradas 167 questões.
Entre 1945 e 1964, o Brasil conheceu difícil e complexa experiência democrática, cujo epílogo foi o golpe de estado que derrubou o governo Goulart. Após duas décadas de regime autoritário, inicia-se nova fase democrática que tem na Constituição de 1988 seu marco jurídico-político. Relativamente à trajetória histórica do Brasil contemporâneo, assinale a opção correta.
Provas
Questão presente nas seguintes provas
Há cem anos morria Machado de Assis, considerado o maior escritor brasileiro e um dos maiores expoentes da língua portuguesa. De sua obra literária, em que sobressaíam os romances e as crônicas de fina sensibilidade e de aguda percepção da realidade, destacam-se as que se seguem, exceto:
Provas
Questão presente nas seguintes provas
Na explosiva e irrequieta década de 1960, a cultura brasileira não ficou imune ao processo histórico vivido pelo país e pelo mundo. No mesmo contexto de um teatro politicamente engajado, surgiam o iê-iê-iê e um movimento que se singularizava por suas inovadoras propostas estéticas. Combinando elementos arcaicos e de vanguarda, urbanos e periféricos, esse movimento reunia artistas como Caetano Veloso, Gilberto Gil, Tom Zé, Capinam e Torquato Neto, entre outros. Trata-se do (da)
Provas
Questão presente nas seguintes provas
Um quadrilátero convexo circunscrito a uma circunferência possui os lados a, b, c e d, medindo (4 x - 9), (3 x + 3), 3 x e 2 x, respectivamente. Sabendo-se que os lados a e b são lados opostos, então o perímetro do quadrilátero é igual a:
Provas
Questão presente nas seguintes provas
Uma empresa de consultoria no ramo de engenharia de transportes contratou 10 profi ssionais especializados, a saber: 4 engenheiras e 6 engenheiros. Sorteando-se, ao acaso, três desses profi ssionais para constituírem um grupo de trabalho, a probabilidade de os três profissionais sorteados serem do mesmo sexo é igual a:
Provas
Questão presente nas seguintes provas
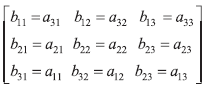
Qualquer elemento de uma matriz X pode ser representado por xij, onde i representa a linha e j a coluna em que esse elemento se localiza. A partir de uma matriz A (aij), de terceira ordem, constrói-se a matriz B(bij), também de terceira ordem, dada por:

Sabendo-se que o determinante da matriz A é igual a 100, então o determinante da matriz B é igual a:
Provas
Questão presente nas seguintes provas
Sabendo que
!$ x=\,\mathrm{arc\,cos}\,{\sqrt 2\,\over\,2} !$
então o valor da expressão !$ cos(x-y) !$ é igual a:
e que
!$ y=\,\mathrm{arc\,sen}\,{1\,\over\,2} !$
Provas
Questão presente nas seguintes provas
Maria foi informada por João que Ana é prima de Beatriz e Carina é prima de Denise. Como Maria sabe que João sempre mente, Maria tem certeza que a afirmação é falsa. Desse modo, e do ponto de vista lógico, Maria pode concluir que é verdade que:
Provas
Questão presente nas seguintes provas
Três meninos, Pedro, Iago e Arnaldo, estão fazendo um curso de informática. A professora sabe que os meninos que estudam são aprovados e os que não estudam não são aprovados. Sabendo-se que: se Pedro estuda, então Iago estuda; se Pedro não estuda, então Iago ou Arnaldo estudam; se Arnaldo não estuda, então Iago não estuda; se Arnaldo estuda então Pedro estuda. Com essas informações pode-se, com certeza, afirmar que:
Provas
Questão presente nas seguintes provas
Sin embargo, la hipotética integración de los diversos bancos confederados no es ni mucho menos fácil. Un ejemplo: la remuneración media en el Banco Exterior es la más alta de la banca, un 30% superior a la media. En este contexto, si se propusiera la fusión sin más del Exterior y Caja Postal, lo lógico es que los empleados de esta última entidad quisieran igualarse, y no precisamente por debajo, con los de la primera.
En el contexto del texto la palabra "propusiera" significa que la fusión:
REAL ACADEMIA ESPAÑOLA: Banco de datos (CORDE) [en línea]. Corpus diacrónico del español. <http://www.rae.es> [Consulta del 20.01.08]
En el contexto del texto la palabra "propusiera" significa que la fusión:
Provas
Questão presente nas seguintes provas
Cadernos
Caderno Container