Magna Concursos

Foram encontradas 780 questões.

2513312 Ano: 2016
Disciplina: Odontologia
Banca: DIRENS Aeronáutica
Orgão: CIAAR
Provas:

Dentre as indicações para administração de bloqueio do nervo bucal, em qual das opções abaixo ela é incorreta?

 

Provas

Questão presente nas seguintes provas
2513261 Ano: 2016
Disciplina: Serviço Social
Banca: DIRENS Aeronáutica
Orgão: CIAAR
Provas:
Quanto ao Sistema Único de Assistência Social (SUAS), pode-se afirmar que se trata de um sistema público
 

Provas

Questão presente nas seguintes provas
2513227 Ano: 2016
Disciplina: Odontologia
Banca: DIRENS Aeronáutica
Orgão: CIAAR
Provas:

Baseando-se em Graber (2012), no que tange à cefalometria clínica, conclui-se que

 

Provas

Questão presente nas seguintes provas
2513221 Ano: 2016
Disciplina: Engenharia Eletrônica
Banca: DIRENS Aeronáutica
Orgão: CIAAR

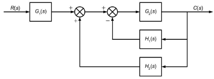
A figura abaixo mostra o diagrama de blocos de um sistema de controle. A função de transferência desse sistema é igual a

Enunciado 2513221-1

 

Provas

Questão presente nas seguintes provas
2513217 Ano: 2016
Disciplina: Enfermagem
Banca: DIRENS Aeronáutica
Orgão: CIAAR
Provas:
Informe se é verdadeiro (V) ou falso (F) o que se afirma abaixo, considerando Hockenberry (1997), no que diz respeito ao abdome da criança e suas características.
( ) Deve-se inspecionar o contorno do abdome com a criança ereta e na posição de decúbito lateral, o que garante a não distorção dos sons abdominais.
( ) Na criança saudável, uma protrusão de linha média, geralmente, é uma variação do desenvolvimento muscular irregular.
( ) Normalmente o abdome de lactentes e crianças pequenas é cilíndrico e, na posição ereta, bastante proeminente em função da lordose fisiológica da coluna.
( ) Uma protrusão de linha média do processo xifoide ao umbigo ou sínfise pubiana geralmente é diástase dos retos, ou falha dos músculos retos abdominais de se juntar in utero.
Assinale a sequência correta.
 

Provas

Questão presente nas seguintes provas
2513186 Ano: 2016
Disciplina: Direito Penal Militar
Banca: DIRENS Aeronáutica
Orgão: CIAAR
Constitui medida de segurança em espécie tida por não detentiva e própria da legislação castrense o(a)
 

Provas

Questão presente nas seguintes provas
2513156 Ano: 2016
Disciplina: Odontologia
Banca: DIRENS Aeronáutica
Orgão: CIAAR
Provas:

A inervação própria das raízes individuais de todos os dentes, osso e estruturas periodontais no maxilar e na mandíbula provém dos ramos terminais de nervos maiores na região.

(MALAMED, Stanley F. Manual de Anestesia Local. 6. ed. Rio de Janeiro: Elsevier, 2013.)

Essas redes nervosas são denominadas

 

Provas

Questão presente nas seguintes provas
2513143 Ano: 2016
Disciplina: Odontologia
Banca: DIRENS Aeronáutica
Orgão: CIAAR
Provas:

De acordo com alguns estudos, as mesmas células presentes no começo do desenvolvimento dos tecidos periodontais, no início da fase embrionária, possivelmente permanecem no periodonto adulto, participando do processo de renovação local do tecido, nas células

 

Provas

Questão presente nas seguintes provas
2513137 Ano: 2016
Disciplina: Enfermagem
Banca: DIRENS Aeronáutica
Orgão: CIAAR
Provas:
“São lesões decorrentes de hipóxia celular, levando à necrose tecidual. Geralmente, estão localizadas em áreas de proeminências ósseas e ocorrem quando a pressão aplicada à pele, por algum tempo, é maior que a pressão capilar normal (32 mmHg/arteríolas e 12 mmHg/vênulas). Podem ser ocasionadas por fatores internos e externos.”
Com base em Figueiredo et. al. (2011), assinale a alternativa que identifica corretamente a doença a qual ele se refere.
 

Provas

Questão presente nas seguintes provas
2513119 Ano: 2016
Disciplina: Engenharia Cartográfica
Banca: DIRENS Aeronáutica
Orgão: CIAAR

No GNSS a s observáveis básicas empregadas na determinação da posição, velocidade e tempo são conhecidas como

 

Provas

Questão presente nas seguintes provas