Foram encontradas 60 questões.
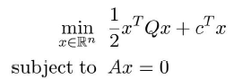
Seja o problema geral de programação quadrática sujeito a restrições de igualdade e escrito em forma matricial, com as matrizes Q e A e o vetor c como parâmetros, isto é

As condições de otimalidade de primeira ordem (KKT) para o problema acima, resulta em:
Provas
O desempenho máximo de uma dada aeronave de combate é função da alocação de 04 recursos compartilhados, modelados via variáveis de decisão, x1, x2, x3 e x4. A função escalar que mede esse índice é dada por z = x1 + x2 + x3 + x4 - x12 - x22 - x32 - x42, com o vínculo de que é preciso controlar essas variáveis de maneira a garantir a alocação máxima dos recursos disponíveis (100%), isto é, x1 + x2 + x3 + x4 = 1.
Use as Condições de Karush-Kuhn-Tucker(KKT) para determinar a alocação de desempenho máximo e o valor de zmax e, em seguida, marque a opção correta.
Provas
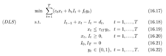
Seja o Problema de Lot Sizing Dinamico (DLS), em que xt decide o tamanho do lote produzido no período de planejamento t, It responde o nível de estoque do produto acabado no período de planejamento t e yt decide se a produção ocorre ou não no período t. Além disso, os parâmetros do problema são: dt informa a demanda de produto para o período t, incidindo ainda os custos unitários de produção ct, os custos de estocagem ht e os custos de preparação ft, com quota acumulada de pordução TtT do período t até o final do horizonte de planejamento T.
Escrevendo o problema como um programa matemático, observa-se:

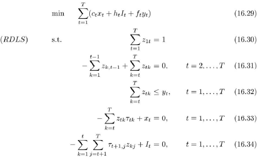
Existe ainda uma reformulação de (16.17)-(16.22), denominada (RDLS) na forma:

Marque a opção que determina e justifica corretamente qual das formulações matemáticas deve-se utilizar para resolver o problema supracitado através de um resolvedor de programas lineares inteiro-mistos de propósito geral.
Provas
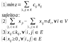
Seja o Problema de Fluxo a Custo Mínimo (PFCM), em que xij decide o fluxo no arco (i, j) da rede subjacente, descrita por um grafo G= (V,E). Neste problema, cij é o custo de transporte por unidade de fluxo no arco (i, j) e kij é a capacidade máxima de transporte do arco (i, j). Escrevendo o PFCM a seguir como um modelo de programação matemática, tem-se:

Denominando os preços duais das restrições (2) de ui para cada vértice i do grafo, e os preços duais das restrições (3) de vij para cada arco (i, j), pode-se afirmar que a forma geral das inequações duais associadas a esse problema, seria dada por:
Provas
Em uma linha de fabricação seriada formada por 5 estações de trabalho, as taxas de falha individuais desses equipamentos são dadas na tabela abaixo:
| Estação | W1 | W2 | W3 | W4 | W5 |
|---|---|---|---|---|---|
| Taxa de Falha | 0.17 | 0.25 | 0.14 | 0.11 | 0.08 |
Ao determinar a confiabilidade desse sistema de produção após 6 meses, encontra-se:
Provas
Em um dado sistema industrial de manufatura, o tempo médio entre falhas (MTBF) de um processo crítico é de 07 meses. Ao determinar a confiabilidade do sistema após 02 anos de uso, encontra-se:
Provas
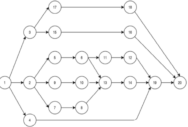
O diagrama dado a seguir codifica uma sequência tecnológica de um produto a ser fabricado em uma linha de montagem.

Marque a opção em que a sequência de produção está incorreta (infactível).
Provas
Duas equipes de manutenção de uma planta fabril devem realizar a parada de 05 centros de usinagem/células de manufatura de maneira a garantir produtividade máxima para cada hora trabalhada. Cada máquina deve ser atendida por cada uma das duas equipes de manutenção, dado que as especialidades das equipes são diferentes. Os tempos de parada esperados são dados na tabela a seguir em horas.
| Máquina | Equipe 1 | Equipe 2 |
| M1 | 9 | 7 |
| M2 | 5 | 4 |
| M3 | 10 | 9 |
| M4 | 1 | 5 |
| M5 | 3 | 2 |
Considerando a tabela acima, determine a solução de eficiência máxima e marque qual é a produtividade máxima alcançável.
Provas
Uma célula do sistema Kanban de manufatura enxuta para o enésimo processo/estágio de produção é vista na figura abaixo. Suponha um horizonte de planejamento discretizado em períodos T, isto é t = {1,2,3...T}, e um sistema composto de N estágios, isto é n = {1,2,3...N}, e que os cartões destacados do estoque em processo em t só se tornam ordens de produção em (t+1).

Em que:
Há um modo de operação do sistema Kanban denominado de conteiner-para-conteiner, em que cada conteiner de estoque em processo em In é suficiente para produzir exatamente um conteiner no pulmão do processo sucessor do estágio n, Is(n), garantindo assim, a inexistência de recortes de estoque-em-processo. Esse modus operandi também reduz o problema de gestão do sistema como um todo a especificar o tamanho inicial de Un0 e Vn0 de maneira a cobrir a maior diferença de velocidade entre processos subsequentes durante o horizonte de planejamento, garantindo assim, o seu equilíbrio. Sobre esse modo de operação pode-se afirmar que:
Provas
Seja a programação de produção dada a seguir num sistema de produção do tipo Flow Shop com duas máquinas, M1 e M2:

Determine o sequenciamento ótimo usando o Algoritmo de Johnson. A seguir, calcule o tempo total para completar a sequência de tarefas (Makespan) e marque a opção correta.
Provas
Caderno Container