Magna Concursos

Foram encontradas 40 questões.

130454 Ano: 2012
Disciplina: Redação Oficial
Banca: MS CONCURSOS
Orgão: CIJUN
Provas:

Analise os itens abaixo:

• Dia, mês, ano, hora e local da reunião (por extenso).
• Pessoas presentes devidamente qualificadas.
• Declaração do Presidente e secretário (a).
• Ordem do dia (pauta).
• Fecho.


Os dados acima constituem um (a):

 

Provas

Questão presente nas seguintes provas
130453 Ano: 2012
Disciplina: Redação Oficial
Banca: MS CONCURSOS
Orgão: CIJUN
Provas:

Classifique a coluna 2 de acordo com a coluna 1:


Coluna 1


I – Ofício II – Memorando III – Relatório IV – Edital


Coluna 2 ( ) De caráter informativo, pode ser formal, informal, com finalidades específica e analítica. ( ) Documento expedido por órgão público, porém o destinatário pode ser de natureza pública ou privada. ( ) Deve possuir timbre, data, local, nº de convocação, horário, ordem do dia (pauta), local, data da convocação e assinatura do Presidente ou Coordenador da reunião. ( ) Modalidade de comunicação entre unidades administrativas de um mesmo órgão, cujo destinatário deve ser mencionado pelo cargo que ocupa.


Indique abaixo a CORRETA sequência assinalada na ordem de cima para baixo:

 

Provas

Questão presente nas seguintes provas
130452 Ano: 2012
Disciplina: Redação Oficial
Banca: MS CONCURSOS
Orgão: CIJUN
Provas:
Com relação às técnicas de redação, assinale a alternativa INCORRETA:
 

Provas

Questão presente nas seguintes provas
130451 Ano: 2012
Disciplina: Administração Pública
Banca: MS CONCURSOS
Orgão: CIJUN
Provas:
Sobre a administração do tempo como ferramenta gerencial nas empresas é INCORRETO afirmar:
 

Provas

Questão presente nas seguintes provas
130450 Ano: 2012
Disciplina: Administração Geral
Banca: MS CONCURSOS
Orgão: CIJUN
Provas:
Considerando que existem normas cuja observância aumenta a produtividade em relação à eficácia da organização do trabalho e gestão do tempo, analise as sentenças abaixo e assinale a opção que NÃO está de acordo com esse propósito:
 

Provas

Questão presente nas seguintes provas
130449 Ano: 2012
Disciplina: Matemática
Banca: MS CONCURSOS
Orgão: CIJUN
Provas:
Para transportar notebooks em uma viagem, coloquei-os de dois em dois em caixas apropriadas e sobrou um. Então, os juntei de 3 em 3, não houve sobras. Quantos notebooks eu transportei nessa viagem?
 

Provas

Questão presente nas seguintes provas
130448 Ano: 2012
Disciplina: Matemática
Banca: MS CONCURSOS
Orgão: CIJUN
Provas:
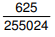
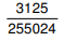
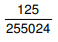
Em uma urna há 5 bolas amarelas, 5 bolas brancas, 5 bolas cinzas, 5 bolas vermelhas e 5 bolas pretas, todas feitas com mesmo material e de mesmo tamanho. Se tirarmos 5 bolas desta caixa, uma a uma, sem reposição, qual a probabilidade de tirarmos as bolas na seguinte ordem de cores: amarela, branca, cinza, vermelha e preta?
 

Provas

Questão presente nas seguintes provas
130447 Ano: 2012
Disciplina: Inglês (Língua Inglesa)
Banca: MS CONCURSOS
Orgão: CIJUN
Provas:

Read the following text and choose the best alternative:


“Although an executive may answer his own phone at times, he may still prefer for his secretary to answer it when he is not available. Secretaries may also have to answer departmental phone lines.”

(by Heather Eastridge from http:// www.ehow.com/facts_5256675_executive-secretary-duties-res)

Which alternative contains the word or group of words that is most nearly the same in the meaning as the underlined words “at times”?
 

Provas

Questão presente nas seguintes provas
130446 Ano: 2012
Disciplina: Inglês (Língua Inglesa)
Banca: MS CONCURSOS
Orgão: CIJUN
Provas:
Choose the alternative that contains the word or group of words which best completes the following sentence: “Secretaries are expected ___________ organized, punctual, cheerful and courteous.”
 

Provas

Questão presente nas seguintes provas
130445 Ano: 2012
Disciplina: Inglês (Língua Inglesa)
Banca: MS CONCURSOS
Orgão: CIJUN
Provas:

Read the following text and choose the answer which best fits the ideas in the text:


“Executive secretaries are responsible for maintaining their manager’s schedules and organizing calendars. They schedule departmental meetings and arrange for conference rooms to be used. Depending on the executive, secretaries may also be tasked with setting some of their manager’s personal appointments as well.”

(by Heather Eastridge from http:// www.ehow.com/facts_5256675_executive-secretary-duties-res)

From the group of words lettered a-e, choose the alternative that contains the group of words that is most nearly the same in meaning as the underlined words in the above text and will at the same time correctly fill the gap in the sentence.
 

Provas

Questão presente nas seguintes provas