Foram encontradas 785 questões.

A figura acima ilustra o circuito digital que gera o sinal W a partir dos sinais X, Y e Z. Os Mapas de Karnaugh apresentam as operações realizadas em cada um dos blocos. A expressão booleana de W é
Provas

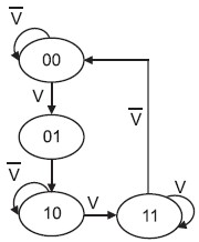
Deseja-se implementar o diagrama de estados da figura acima, usando dois flip-flops tipo D, que oferecem as saídas QBQA, onde QB é o mais significativo. A menor soma de produtos que deve ser ligada à entrada DB é
Provas

A figura acima ilustra os Mapas de Karnaugh da variável digital F, que é função das variáveis X, Y, Z, W e U. A expressão booleana de F é
Provas

São corretos os exemplos para os sistemas X, Y, Z e W:
| Sistema X |
Sistema Y | Sistema Z | Sistema W |
Provas
A Cia. ALFA Ltda. pagou a um fornecedor, R$ 25.000,00, acrescidos de juros de mora de R$ 500,00 pelo atraso no pagamento, em cheque do Banco Zero.
Considerando apenas as informações acima, o lançamento contábil, sem os elementos data e histórico, que caracteriza esta operação é:
Provas
Uma sociedade anônima de capital fechado, atuando na área comercial, em 30 de junho de 2009, realizou as seguintes operações com vencimento para 30 de agosto de 2009:
I – Adiantamento a empregados – R$ 50.000,00;
II – Adiantamento a diretores – R$ 50.000,00;
III – Venda de mercadorias para uma coligada – R$ 50.000,00.
No balanço de 30 de julho de 2009, de acordo com a Lei das Sociedades Anônimas vigente, essas operações são classificadas como
| Ativo Circulante |
Ativo não Circulante Realizável Longo Prazo |
Provas
São exemplos de planos de remuneração variáveis utilizados pelas empresas:
I - por unidades produzidas;
II - participação no lucro da empresa;
III - horas extras e banco de horas;
IV - participação nos resultados de produtividade.
Estão corretos os planos
Provas

A figura acima apresenta duas opções estratégicas para programação das tarefas X e Y. A opção 2 é denominada programação para
Provas
Qual dos conjuntos abaixo contém pelo menos um item que NÃO é um tag HTML válido?
Provas
Provas
Caderno Container