Foram encontradas 30 questões.
A função f(x) =
é decrescente no intervalo:
Provas
Questão presente nas seguintes provas
A soma das raízes negativas da equação 4x4 – 17x2 = -4 é igual a;;
Provas
Questão presente nas seguintes provas

Provas
Questão presente nas seguintes provas
Num triângulo ABC, retângulo em B, os catetos medem 5 cm e 12 cm. A altura relativa ao vértice B desse triângulo, em cm, é aproximadamente igual a:
Provas
Questão presente nas seguintes provas
O volume de um paralelepípedo cuja largura é o dobro do comprimento e a altura é o triplo da largura, sabendo- se que a largura tem a mesma medida da aresta de um cubo cujo volume é igual a 216 cm3 , é, em cm3 :
Provas
Questão presente nas seguintes provas
Com relação à função quadrática f(x) = ax2 + bx + c, é correto afirmar que:
Provas
Questão presente nas seguintes provas
Dentre as alternativas, a única incorreta é:
Provas
Questão presente nas seguintes provas
Sejam as afirmações:
I. A raíz quarta de um número inteiro não-negativo é um número inteiro não-negativo.
II. Toda dízima é um número irracional.
III. A notação científica do número 235000000 é igual a 23,5.107.
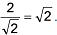
IV.
Pode-se dizer que são corretas:
I. A raíz quarta de um número inteiro não-negativo é um número inteiro não-negativo.
II. Toda dízima é um número irracional.
III. A notação científica do número 235000000 é igual a 23,5.107.
IV.
Pode-se dizer que são corretas:
Provas
Questão presente nas seguintes provas
O total de filhos dos funcionários de uma empresa é:
0 – 2 – 3 – 4 – 1 – 2 – 3 – 0 – 2 – 3 – 1 – 3
A moda, a média e a mediana referente ao total de filhos dos funcionários dessa empresa são, respectivamente.
0 – 2 – 3 – 4 – 1 – 2 – 3 – 0 – 2 – 3 – 1 – 3
A moda, a média e a mediana referente ao total de filhos dos funcionários dessa empresa são, respectivamente.
Provas
Questão presente nas seguintes provas
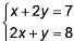
O valor de b para que o determinante da matriz
seja igual a 8, em que x e y são as coordenadas da solução do sistema
, é igual a:
Provas
Questão presente nas seguintes provas
Cadernos
Caderno Container