Foram encontradas 60 questões.
O prisma triangular da figura 1 sofreu um corte como na figura 2, resultando no sólido da figura 3.

Comparando os sólidos das figuras, pode-se afirmar corretamente que a figura 3 possui
Provas
Na padaria do Sr Mobotium, o pão de queijo custa R$ 2,75 a unidade. Nos finais de semana, o Sr Mobotium oferece aos clientes a seguinte promoção:
PAGUE 3 PÃES DE QUEIJO E LEVE 4.
Antônia vai à padaria do Sr Mobotium, no final de semana, com R$ 40 e tem a intenção de levar para casa 20 pães de queijo. Nessa situação, o dinheiro que Antônia possui será
Provas
Os dois terrenos a seguir possuem a mesma área, 9 m2 cada; porém, seus perímetros são diferentes.

Sabe-se que as medidas dos lados de ambos os terrenos são números inteiros, medidos em metros. Dessa maneira, o perímetro do quadrado somado ao perímetro do retângulo é igual a
Provas
A aluna Garança, que gosta muito de ler, foi até a Biblioteca do Colégio Militar de Belém e escolheu um livro com 240 páginas. No primeiro dia, empolgada, ela leu cinquenta por cento do livro; no segundo dia, leu um terço do que restava para ser lido; no terceiro dia, leu um quinto do que ainda restava. Após o terceiro dia, quantas páginas restaram para ela terminar a leitura do livro?
Provas
Para a construção do Refeitório do Colégio Militar de Belém, foi utilizado um caminhão caçamba para transportar areia, como o da figura a seguir.

Disponível em: <https:// devtoo Is.com. br /i mg/Encontrando-metragem-c%C3%
BAbica-de-u m-camin h%C3¾A3oca% C3%A 7 amba. webp>. Acesso em: 16 set. 2022.
Quantas caçambas cheias (com altura máxima de 1,75 m) são necessárias para atender a um pedido do Colégio Militar de 122.500 decímetros cúbicos de areia?
Provas
Uma professora de Matemática do Colégio Militar de Belém gosta de estimular o raciocínio lógico e cálculo mental de seus alunos e, para isso, utiliza o recurso "Desafio minuto". Quando o aluno acerta a resposta do desafio, ganha uma estrelinha e um chocolate.

A idade da professora é
Provas
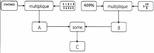
O aluno Brasil adora Matemática e montou o seguinte esquema de operações:

Nesse esquema montado pelo aluno Brasil, qual o valor numérico de C?
Provas
A aluna Estrela, que adora itens de papelaria, gastou 3/5 da quantia que tinha com canetinhas e 25% do que lhe restou com post-it, ficando ainda com 45 reais. Quanto a aluna Estrela tinha inicialmente?
Provas
Utilize o texto e a tabela a seguir para resolver à questão.
Ziguifreudo promoveu um bazar de brinquedos entre seus amigos e propôs a seguinte tabela de valores:
|
TABELA DE VALORES |
|
|
"PROMOÇÃO ENIGMÁTICA!" |
|
|
ITEM |
VALOR |
|
7 bolas |
valem 14 carrinhos |
|
4 carrinhos -- |
valem 2 bonecos |
|
16 bonecos |
R$ 112,00 |
Se alguém comprar uma bola, quatro carrinhos e dois bonecos nesse bazar pagará o valor de
Provas
Utilize o texto e a tabela a seguir para resolver à questão.
Ziguifreudo promoveu um bazar de brinquedos entre seus amigos e propôs a seguinte tabela de valores:
|
TABELA DE VALORES |
|
|
"PROMOÇÃO ENIGMÁTICA!" |
|
|
ITEM |
VALOR |
|
7 bolas |
valem 14 carrinhos |
|
4 carrinhos -- |
valem 2 bonecos |
|
16 bonecos |
R$ 112,00 |
De acordo com a tabela de valores proposta, conclui-se que o valor de cada bola é
Provas
Caderno Container