Foram encontradas 79 questões.
TEXTO VI:
OS OIM DO MEU AMOR
(Cordel do Fogo Encantado)
Ê nunca mais eu vi
Os oím do meu amor
Nunca mais eu vi
Os oím dela brilhar
Nunca mais eu vi
Os oím do meu amor
São dois jarrinho de flor
E todo mundo quer cheirar
TEXTO VII:
PELA LUZ DOS OLHOS TEUS
(Vinicius de Moraes)
Quando a luz dos olhos meus
E a luz dos olhos teus
Resolvem se encontrar
Ai, que bom que isso é, meu Deus
Que frio que me dá
O encontro desse olhar
Mas se a luz dos olhos teus
Resiste aos olhos meus
Só pra me provocar
Meu amor, juro por Deus
Me sinto incendiar
Meu amor, juro por Deus
Que a luz dos olhos meus
Já não pode esperar
Quero a luz dos olhos meus
Na luz dos olhos teus
Sem mais lararará
Pela luz dos olhos teus
Eu acho, meu amor
E só pode achar
Que a luz dos olhos meus
Precisa se casar
Há, nos textos VI e VII, a repetição de palavras e de versos inteiros. Essa estratégia evidencia uma forte intenção de:
Provas
Questão presente nas seguintes provas
Da análise deste gênero multimodal anterior, está FALSA a ideia expressa na alternativa:
Provas
Questão presente nas seguintes provas
TEXTO X:

Fonte: Imagem de livre circulação no whatsApp. Out/2016
A análise desta charge nos remete à seguinte interpretação:
Provas
Questão presente nas seguintes provas
TEXTO I: Imagem captada da internet.

O texto acima, publicado em um blog, certamente, de uma professora de português, comenta sobre um registro bastante comum no português atual. Sobre o texto, identifique o comentário ERRADO.
Provas
Questão presente nas seguintes provas
Leia o texto a seguir
"O halterofilismo, ou ainda levantamento de peso, é um desporto cujo objetivo é levantar a maior quantidade de peso possível, do chão até sobre a cabeça, numa barra em que são fixados pesos. Compete-se em duas modalidades: o arranco e o arremesso. Seu objetivo é desenvolver a potência é desenvolver a potência e também exige técnica, flexibilidade, coordenação e equilíbrio."

Disponível em https://pt.wikipedia.org/wiki/Halterofilismo. Acesso em 14/09/2016.
Qual o sólido geométrico que melhor representa os pesos colocados na barra do halterofilista?
Provas
Questão presente nas seguintes provas
Leia o texto a seguir.
"A unidade principal de comprimento é o metro. Entretanto, existem situações em que essa unidade deixa de ser prática. Se quisermos medir grandes extensões, ela é muito pequena. Por outro lado se quisermos medir extensões muito "pequenas", a unidade metro é muito 'grande'".
Disponível em http://www.coladaweb.com/matematica/regras-de-conversao-de-unidades-de-medida. Acesso em 08/09/2016.
Isso que foi relatado não é uma particularidade das unidades de medidas de comprimento. O mesmo acontece com as unidades de medidas de área, massa, capacidade, entre outras. A decisão sobre qual a melhor unidade de medida para representar coisas do cotidiano vem da capacidade quem cada um tem de fazer estimativas, juntamente com conhecimentos que normalmente são de senso comum.
Abaixo são feitas algumas afirmações, onde são usadas unidades de medida não indicadas para cada caso. Analise-as:
I - A altura de um homem adulto é de cerca de 0,00173 km.
II - A massa de uma criança de 10 anos é de aproximadamente 420000 mg.
III - Esta página tem uma área de 0,06237 !$ m^2 !$, considerando que suas dimensões são 210 mm de largura por 297 mm de comprimento.
IV - Normalmente a capacidade dos frascos de xarope vendidos em farmácias é de 0,00012 I.
Pode-se afirmar que estão dentro da realidade apenas as afirmações:
Provas
Questão presente nas seguintes provas
Em uma refinaria de petróleo, quando o reservatório de gasolina estava completamente cheio, ocorreu um grande vazamento provocado por uma rachadura em sua base. Os técnicos responsáveis pelo conserto estimaram que, a partir do instante em que ocorreu a avaria, o volume !$ V !$de gasolina restante no reservatório (em quilolitro) em função do tempo !$ t !$ (em hora) podia ser calculado pela lei:
!$ V(t)=-2t^2-8t+120 !$.
I - após 3 horas da ocorrência da avaria restariam 68 quilolitros no reservatório.
II - a capacidade do reservatório era de 120 quilolitros.
III - o reservatório se esvaziaria por completo após 6 horas da ocorrência da avaria.
IV - para conseguir salvar pelo menos 80% da gasolina do reservatório, os técnicos deveriam realizar o conserto em até 2 horas após a ocorrência da avaria.
Pode-se afirmar corretamente que
Provas
Questão presente nas seguintes provas
TEXTO VI: Dia, Lugar e Hora (Luan Santana)
Fonte:https:www.letras.mus.br/luan-santana/eu-voce-o-mar--e-ela#radio:luan-santana Acesso:05/11/2016
Se a moça do café não demorasse tanto
Pra me dar o troco
Se eu não tivesse discutido na calçada
Com aquele cara louco
E ó que eu nem sou de rolo
Se eu não tivesse atravessado
Aquela hora do sinal vermelho
Se eu não parasse bem na hora do almoço
Pra cortar o cabelo
E ó que eu nem sou vaidoso
Eu não teria te encontrado
Eu não teria me apaixonado
Mas aconteceu
Foi mais forte que eu e você
Aí eu disse
Quer que eu faça um café?
Ou faça minha vida
Se encaixar na sua?
Aqui mesmo na rua
Era pra ser agora
Quando é pra acontecer
Tem dia, lugar e tem hora
Se eu não tivesse atravessado
Aquela hora no sinal vermelho
Se eu não parasse bem na hora do almoço
Pra cortar o cabelo
E ó eu nem sou vaidoso
Eu não teria te encontrado
Eu não teria me apaixonado
Mas aconteceu
Foi mais forte que eu e você
Aí eu disse
Quer que eu faça um café?
Ou faça minha vida
Se encaixar na sua?
Aqui mesmo na rua
Era pra ser agora
Quando é pra acontecer
Tem dia, lugar e tem hora
Eu disse
Quer que eu faça um cafe?
Ou faça minha vida
Se encaixar na sua?
Aqui mesmo na rua
Era pra ser agora
Quando é pra acontecer
Tem dia, lugar e tem hora
Se a moça do café não demorasse tanto
A letra desta música tem um registro coloquial da linguagem e em uma das alternativas o pronome em próclise no início do verso confirma esse direcionamento coloquial. Marque a alternativa em que isso ocorre.
Provas
Questão presente nas seguintes provas
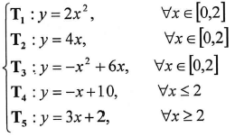
Numa operação militar, foi montado um campo de minas (bombas explosivas), conforme figura abaixo. Essas minas estão localizadas nas seguintes coordenadas:
!$ M_1(1,4), M_2(1,5), M_3(3,7), M_4(4,-1) !$ e !$ M_5(3,11) !$
Neste campo existem 5 trechos de trilhas !$ (T_1,T_2,T_3, T_4 \, e \, T_5) !$, representadas, respectivamente, pelas funções abaixo descritas, de modo que as trilhas !$ T_1 !$, !$ T_2 !$ e !$ T_3 !$ iniciem no ponto O e terminem no ponto P e as trilhas, !$ T_4 !$ e !$ T_5 !$ iniciem no ponto P.

Baseado nos conhecimentos de representação de pontos e funções no gráfico cartesiano, podemos afirmar que, usando as trilhas existentes, qual a única escolha das trilhas que permite atravessar esse campo minado com segurança?

Provas
Questão presente nas seguintes provas
Um grupo de alunos do CMR resolveu almoçar na cantina do colégio. Chegando lá, combinaram que a despesa total seria igualmente dividida por cada integrante do grupo. Com o prato principal, o grupo gastou R$ 108,00 e com as sobremesas R$ 36,00. Sabendo que casa sobremesa custa R$ 6,00 a menos que o prato principal, qual o total da despesa de cada aluno?
Provas
Questão presente nas seguintes provas
Cadernos
Caderno Container