Foram encontradas 70 questões.
Quantas vezes inteiras a raiz quadrada de 0,5 cabe na raiz cúbica de 10?
Provas
Questão presente nas seguintes provas
Segundo o INCRA Agrária]), os classificações Assim sendo, tipo de imóvel (Instituto Nacional de Colonização e Reforma imóveis rurais brasileiros possuem com base em suas dimensões e tipo de uso. assinale a opção que faz menção correta ao rural descrito.
Provas
Questão presente nas seguintes provas
As lições de outros escritores
Pode parecer um lugar comum, mas é verdade verdadeira: a única arma que se pode usar para aprender a escrever melhor, é ler, ler muito. As lições que se tiram dos textos dos escritores que vieram antes de nós são inúmeras e valem a pena.
O escritor iniciante, por mais talento que tenha, se depara com obstáculos que parecem intransponíveis. Até mais do que no futebol, a inexperiência torna os movimentos desarticulados, faz o praticante gastar esforços inúteis, deixa-o sem diante dos problemas.
Muito disso pode ser evitado com o uso recorrente da leitura. [...] Ler, ler muito, ensina alguns truques do ofício de escritor. Por isso é que todo escritor profissional já revelou que lê muito. [...]
Num mundo marcado pela correria, algumas pessoas acham que a leitura é uma ocupação ultrapassada, que demanda tempo demais. É besteira, claro. Ainda mais quem deseja escrever para ser lido.
[...] A primeira pergunta que se faz é: tudo bem, deve se ler, mas o quê? A resposta é fácil: leia o que, gosta. Devemos deixar de lado os livros que podem chatear, por importante que sejam. Se já se tem um gênero planejado, melhor ainda. Digamos que alguém queria escrever romances de fundo social. Leiam-se, então livros do gênero que se pretende explorar, verificando nele o que funciona e o não funciona. Precisa-se analisar o autor, a forma com que ele escreve, como ele desenvolve a ação, constrói os personagens, arma os diálogos, usa o cenário e o tempo, sobretudo como ele transmite sua mensagem.
Todo mundo precisa ler, mas os escritores devem ler. Sobretudo os livros certos. [ ... ] O enfrentamento e a absorção de um livro são coisas extremamente subjetivas. Assim, se um amigo recomendar determinado romance que, além de tudo, está nas listas de best-sellers, talvez seja muito chato para nós. Da mesma forma, se um clássico como Grande sertão: veredas, de João Guimarães Rosa, se impõe à nossa leitura como um clássico unânime, pode-se achar impossível se interessar por esse mundo e por esses personagens. Não se deve envergonhar. Deixemo-lo de lado e partamos para outro livro. Algum dia se descobrirão os encantos de Guimarães Rosa. E nem sempre o que é clássico incontestável é o livro indicado para o momento. Pode acontecer também que se descubra, meio por acaso, outro clássico: começamos a lê-lo e nos empolgamos, descobrindo o prazer que há em avançar por ele, um livro que nunca abordamos, porque era venerado pela crítica e nos deixava um tanto receosos de enfrentá-lo. [ ... ]
Como escritor em processo, tem-se de ler de um modo diferente. Há quem goste de sublinhar frases ou trechos significativos. É útil também para destacar metáforas ou comparações espertas. Ou ainda para realçar idéias que admiramos, detestamos ou imaginamos que merecem uma reflexão posterior. Como artesão da escrita, deve-se ler e procurar sempre no dicionário uma palavra que não se conheça, incorporando-a em nosso repertório. Afinal, não estamos só lendo um texto como um leitor comum; queremos entender como o escritor fez aquilo. Às vezes, apenas sublinhar não basta. O comentário que surgiu na sua mente deve ser escrito, para não ser esquecida essa primeira 60 impressão.
Se o texto nos impressionou e se ele se ajusta ao que pretendemos escrever, façamos mais um esforço. Leia-lo de novo, depois de saber o que vai acontecer na ação ou quais idéias serão discutidas. Perceber-se-ão com mais clareza os métodos do escritor e, se for o caso, entenderemos melhor o que ficou confuso na primeira leitura. Na ficção, ainda se pode ver melhor nessa segunda leitura se o personagem tem coerência, ou se poderia ser dispensado da trama.
A leitura estimula o pensamento e pode nos tornar mais sensíveis ao que vamos escrever. Com o primeiro rascunho pronto, começa-se a editar. Ou seja, deve-se ler e reler cada palavra e ver se ela está encaixando no todo, até mesmo se está escrita corretamente. Começa-se a encarar melhor o texto, como se fosse escrito por outra pessoa. E se houver dificuldades em entender alguma coisa ou em achar lógico um ou outro desenvolvimento do texto, lembremo-nos de que outras pessoas - os nossos leitores - também terão.
Geraldo Galvão 111, N°28, 2008 Ferraz, in Revista Língua Portuguesa - Ano - com adaptações.
No que se refere aos termos da oração, assinale a opção em que a palavra destacada representa uma função sintática diferente das demais.
Provas
Questão presente nas seguintes provas
As lições de outros escritores
Pode parecer um lugar comum, mas é verdade verdadeira: a única arma que se pode usar para aprender a escrever melhor, é ler, ler muito. As lições que se tiram dos textos dos escritores que vieram antes de nós são inúmeras e valem a pena.
O escritor iniciante, por mais talento que tenha, se depara com obstáculos que parecem intransponíveis. Até mais do que no futebol, a inexperiência torna os movimentos desarticulados, faz o praticante gastar esforços inúteis, deixa-o sem diante dos problemas.
Muito disso pode ser evitado com o uso recorrente da leitura. [...] Ler, ler muito, ensina alguns truques do ofício de escritor. Por isso é que todo escritor profissional já revelou que lê muito. [...]
Num mundo marcado pela correria, algumas pessoas acham que a leitura é uma ocupação ultrapassada, que demanda tempo demais. É besteira, claro. Ainda mais quem deseja escrever para ser lido.
[...] A primeira pergunta que se faz é: tudo bem, deve se ler, mas o quê? A resposta é fácil: leia o que, gosta. Devemos deixar de lado os livros que podem chatear, por importante que sejam. Se já se tem um gênero planejado, melhor ainda. Digamos que alguém queria escrever romances de fundo social. Leiam-se, então livros do gênero que se pretende explorar, verificando nele o que funciona e o não funciona. Precisa-se analisar o autor, a forma com que ele escreve, como ele desenvolve a ação, constrói os personagens, arma os diálogos, usa o cenário e o tempo, sobretudo como ele transmite sua mensagem.
Todo mundo precisa ler, mas os escritores devem ler. Sobretudo os livros certos. [ ... ] O enfrentamento e a absorção de um livro são coisas extremamente subjetivas. Assim, se um amigo recomendar determinado romance que, além de tudo, está nas listas de best-sellers, talvez seja muito chato para nós. Da mesma forma, se um clássico como Grande sertão: veredas, de João Guimarães Rosa, se impõe à nossa leitura como um clássico unânime, pode-se achar impossível se interessar por esse mundo e por esses personagens. Não se deve envergonhar. Deixemo-lo de lado e partamos para outro livro. Algum dia se descobrirão os encantos de Guimarães Rosa. E nem sempre o que é clássico incontestável é o livro indicado para o momento. Pode acontecer também que se descubra, meio por acaso, outro clássico: começamos a lê-lo e nos empolgamos, descobrindo o prazer que há em avançar por ele, um livro que nunca abordamos, porque era venerado pela crítica e nos deixava um tanto receosos de enfrentá-lo. [ ... ]
Como escritor em processo, tem-se de ler de um modo diferente. Há quem goste de sublinhar frases ou trechos significativos. É útil também para destacar metáforas ou comparações espertas. Ou ainda para realçar idéias que admiramos, detestamos ou imaginamos que merecem uma reflexão posterior. Como artesão da escrita, deve-se ler e procurar sempre no dicionário uma palavra que não se conheça, incorporando-a em nosso repertório. Afinal, não estamos só lendo um texto como um leitor comum; queremos entender como o escritor fez aquilo. Às vezes, apenas sublinhar não basta. O comentário que surgiu na sua mente deve ser escrito, para não ser esquecida essa primeira 60 impressão.
Se o texto nos impressionou e se ele se ajusta ao que pretendemos escrever, façamos mais um esforço. Leia-lo de novo, depois de saber o que vai acontecer na ação ou quais idéias serão discutidas. Perceber-se-ão com mais clareza os métodos do escritor e, se for o caso, entenderemos melhor o que ficou confuso na primeira leitura. Na ficção, ainda se pode ver melhor nessa segunda leitura se o personagem tem coerência, ou se poderia ser dispensado da trama.
A leitura estimula o pensamento e pode nos tornar mais sensíveis ao que vamos escrever. Com o primeiro rascunho pronto, começa-se a editar. Ou seja, deve-se ler e reler cada palavra e ver se ela está encaixando no todo, até mesmo se está escrita corretamente. Começa-se a encarar melhor o texto, como se fosse escrito por outra pessoa. E se houver dificuldades em entender alguma coisa ou em achar lógico um ou outro desenvolvimento do texto, lembremo-nos de que outras pessoas - os nossos leitores - também terão.
Geraldo Galvão 111, N°28, 2008 Ferraz, in Revista Língua Portuguesa - Ano - com adaptações.
Assinale a opção em que se encontra, de forma direta ou implícita, uma afirmação correta quanto às dicas para se escrever melhor apresentadas no texto.
Provas
Questão presente nas seguintes provas
Assinale a opção em que os tempos e modos verbais foram empregados corretamente.
Provas
Questão presente nas seguintes provas
O mínimo múltiplo comum e o máximo divisor comum entre os números naturais a, x e b, são respectivamente iguais a 1680 e 120. Sendo a < x < b, quantos são os valores de x que satisfazem essas condições?
Provas
Questão presente nas seguintes provas
Leia o texto abaixo e responda a questão a seguir.
o crescimento acelerado da economia brasileira, depois da Segunda Guerra, começou a ser freado a partir de 1963. Com a queda do governo Goulart e a ascensão do primeiro governo militar em 1964, houve uma substituição dos estruturalistas pelos monetaristas no comando da política econômica. Para os ministros da Fazenda e de Planejamento do governo Castelo Branco, Otávio Gouveia de Bulhões e Roberto Campos, responsáveis pelo Programa de Ação Econômica do Governo (PAEG), o controle da inflação e a estabilidade monetária eram tarefas prioritárias.
FREIRE, Américo, Marly Silva da Motta e Dora RochaHistória em Curso, O Brasil e suas relações com o mundo Ocidental - Ed. Do Brasil/Fundação Getúlio Vargas/CPDOCpg 318.
A partir do texto, é correto concluir que o PAEG, entre outras medidas, previa o
Provas
Questão presente nas seguintes provas
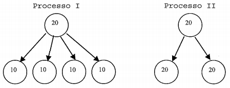
Observe os esquemas abaixo

De acordo com os esquemas apresentados, assinale a opção correta.
Provas
Questão presente nas seguintes provas
As lições de outros escritores
Pode parecer um lugar comum, mas é verdade verdadeira: a única arma que se pode usar para aprender a escrever melhor, é ler, ler muito. As lições que se tiram dos textos dos escritores que vieram antes de nós são inúmeras e valem a pena.
O escritor iniciante, por mais talento que tenha, se depara com obstáculos que parecem intransponíveis. Até mais do que no futebol, a inexperiência torna os movimentos desarticulados, faz o praticante gastar esforços inúteis, deixa-o sem diante dos problemas.
Muito disso pode ser evitado com o uso recorrente da leitura. [...] Ler, ler muito, ensina alguns truques do ofício de escritor. Por isso é que todo escritor profissional já revelou que lê muito. [...]
Num mundo marcado pela correria, algumas pessoas acham que a leitura é uma ocupação ultrapassada, que demanda tempo demais. É besteira, claro. Ainda mais quem deseja escrever para ser lido.
[...] A primeira pergunta que se faz é: tudo bem, deve se ler, mas o quê? A resposta é fácil: leia o que, gosta. Devemos deixar de lado os livros que podem chatear, por importante que sejam. Se já se tem um gênero planejado, melhor ainda. Digamos que alguém queria escrever romances de fundo social. Leiam-se, então livros do gênero que se pretende explorar, verificando nele o que funciona e o não funciona. Precisa-se analisar o autor, a forma com que ele escreve, como ele desenvolve a ação, constrói os personagens, arma os diálogos, usa o cenário e o tempo, sobretudo como ele transmite sua mensagem.
Todo mundo precisa ler, mas os escritores devem ler. Sobretudo os livros certos. [ ... ] O enfrentamento e a absorção de um livro são coisas extremamente subjetivas. Assim, se um amigo recomendar determinado romance que, além de tudo, está nas listas de best-sellers, talvez seja muito chato para nós. Da mesma forma, se um clássico como Grande sertão: veredas, de João Guimarães Rosa, se impõe à nossa leitura como um clássico unânime, pode-se achar impossível se interessar por esse mundo e por esses personagens. Não se deve envergonhar. Deixemo-lo de lado e partamos para outro livro. Algum dia se descobrirão os encantos de Guimarães Rosa. E nem sempre o que é clássico incontestável é o livro indicado para o momento. Pode acontecer também que se descubra, meio por acaso, outro clássico: começamos a lê-lo e nos empolgamos, descobrindo o prazer que há em avançar por ele, um livro que nunca abordamos, porque era venerado pela crítica e nos deixava um tanto receosos de enfrentá-lo. [ ... ]
Como escritor em processo, tem-se de ler de um modo diferente. Há quem goste de sublinhar frases ou trechos significativos. É útil também para destacar metáforas ou comparações espertas. Ou ainda para realçar idéias que admiramos, detestamos ou imaginamos que merecem uma reflexão posterior. Como artesão da escrita, deve-se ler e procurar sempre no dicionário uma palavra que não se conheça, incorporando-a em nosso repertório. Afinal, não estamos só lendo um texto como um leitor comum; queremos entender como o escritor fez aquilo. Às vezes, apenas sublinhar não basta. O comentário que surgiu na sua mente deve ser escrito, para não ser esquecida essa primeira 60 impressão.
Se o texto nos impressionou e se ele se ajusta ao que pretendemos escrever, façamos mais um esforço. Leia-lo de novo, depois de saber o que vai acontecer na ação ou quais idéias serão discutidas. Perceber-se-ão com mais clareza os métodos do escritor e, se for o caso, entenderemos melhor o que ficou confuso na primeira leitura. Na ficção, ainda se pode ver melhor nessa segunda leitura se o personagem tem coerência, ou se poderia ser dispensado da trama.
A leitura estimula o pensamento e pode nos tornar mais sensíveis ao que vamos escrever. Com o primeiro rascunho pronto, começa-se a editar. Ou seja, deve-se ler e reler cada palavra e ver se ela está encaixando no todo, até mesmo se está escrita corretamente. Começa-se a encarar melhor o texto, como se fosse escrito por outra pessoa. E se houver dificuldades em entender alguma coisa ou em achar lógico um ou outro desenvolvimento do texto, lembremo-nos de que outras pessoas - os nossos leitores - também terão.
Geraldo Galvão 111, N°28, 2008 Ferraz, in Revista Língua Portuguesa - Ano - com adaptações.
Com relação ao emprego do pronome destacado, assinale a opção correta.
Provas
Questão presente nas seguintes provas
As lições de outros escritores
Pode parecer um lugar comum, mas é verdade verdadeira: a única arma que se pode usar para aprender a escrever melhor, é ler, ler muito. As lições que se tiram dos textos dos escritores que vieram antes de nós são inúmeras e valem a pena.
O escritor iniciante, por mais talento que tenha, se depara com obstáculos que parecem intransponíveis. Até mais do que no futebol, a inexperiência torna os movimentos desarticulados, faz o praticante gastar esforços inúteis, deixa-o sem diante dos problemas.
Muito disso pode ser evitado com o uso recorrente da leitura. [...] Ler, ler muito, ensina alguns truques do ofício de escritor. Por isso é que todo escritor profissional já revelou que lê muito. [...]
Num mundo marcado pela correria, algumas pessoas acham que a leitura é uma ocupação ultrapassada, que demanda tempo demais. É besteira, claro. Ainda mais quem deseja escrever para ser lido.
[...] A primeira pergunta que se faz é: tudo bem, deve se ler, mas o quê? A resposta é fácil: leia o que, gosta. Devemos deixar de lado os livros que podem chatear, por importante que sejam. Se já se tem um gênero planejado, melhor ainda. Digamos que alguém queria escrever romances de fundo social. Leiam-se, então livros do gênero que se pretende explorar, verificando nele o que funciona e o não funciona. Precisa-se analisar o autor, a forma com que ele escreve, como ele desenvolve a ação, constrói os personagens, arma os diálogos, usa o cenário e o tempo, sobretudo como ele transmite sua mensagem.
Todo mundo precisa ler, mas os escritores devem ler. Sobretudo os livros certos. [ ... ] O enfrentamento e a absorção de um livro são coisas extremamente subjetivas. Assim, se um amigo recomendar determinado romance que, além de tudo, está nas listas de best-sellers, talvez seja muito chato para nós. Da mesma forma, se um clássico como Grande sertão: veredas, de João Guimarães Rosa, se impõe à nossa leitura como um clássico unânime, pode-se achar impossível se interessar por esse mundo e por esses personagens. Não se deve envergonhar. Deixemo-lo de lado e partamos para outro livro. Algum dia se descobrirão os encantos de Guimarães Rosa. E nem sempre o que é clássico incontestável é o livro indicado para o momento. Pode acontecer também que se descubra, meio por acaso, outro clássico: começamos a lê-lo e nos empolgamos, descobrindo o prazer que há em avançar por ele, um livro que nunca abordamos, porque era venerado pela crítica e nos deixava um tanto receosos de enfrentá-lo. [ ... ]
Como escritor em processo, tem-se de ler de um modo diferente. Há quem goste de sublinhar frases ou trechos significativos. É útil também para destacar metáforas ou comparações espertas. Ou ainda para realçar idéias que admiramos, detestamos ou imaginamos que merecem uma reflexão posterior. Como artesão da escrita, deve-se ler e procurar sempre no dicionário uma palavra que não se conheça, incorporando-a em nosso repertório. Afinal, não estamos só lendo um texto como um leitor comum; queremos entender como o escritor fez aquilo. Às vezes, apenas sublinhar não basta. O comentário que surgiu na sua mente deve ser escrito, para não ser esquecida essa primeira 60 impressão.
Se o texto nos impressionou e se ele se ajusta ao que pretendemos escrever, façamos mais um esforço. Leia-lo de novo, depois de saber o que vai acontecer na ação ou quais idéias serão discutidas. Perceber-se-ão com mais clareza os métodos do escritor e, se for o caso, entenderemos melhor o que ficou confuso na primeira leitura. Na ficção, ainda se pode ver melhor nessa segunda leitura se o personagem tem coerência, ou se poderia ser dispensado da trama.
A leitura estimula o pensamento e pode nos tornar mais sensíveis ao que vamos escrever. Com o primeiro rascunho pronto, começa-se a editar. Ou seja, deve-se ler e reler cada palavra e ver se ela está encaixando no todo, até mesmo se está escrita corretamente. Começa-se a encarar melhor o texto, como se fosse escrito por outra pessoa. E se houver dificuldades em entender alguma coisa ou em achar lógico um ou outro desenvolvimento do texto, lembremo-nos de que outras pessoas - os nossos leitores - também terão.
Geraldo Galvão 111, N°28, 2008 Ferraz, in Revista Língua Portuguesa - Ano - com adaptações.
Assinale a opção em que a palavra acentuada obedece à mesma regra da que aparece destacada em " ... deve-se ler, mas o quê?" (4° §)
Provas
Questão presente nas seguintes provas
Cadernos
Caderno Container