Foram encontradas 434 questões.
- PODC: Processo OrganizacionalProcesso Administrativo: Planejamento
- PODC: Processo OrganizacionalProcesso Administrativo: Organização
- PODC: Processo OrganizacionalProcesso Administrativo: Direção
- PODC: Processo OrganizacionalProcesso Administrativo: Controle
- Teorias da AdministraçãoAbordagem NeoclássicaTeoria Neoclássica da Administração
Planejamento, organização, controle e direção são
funções que fazem parte de qual processo dentro de
uma empresa?
Provas
Questão presente nas seguintes provas
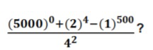
Qual é o valor da expressão, 

Provas
Questão presente nas seguintes provas
Um saquinho de pipoca era vendido em um carrinho em frente a uma escola, por R$ 1,50, e o preço aumentou para R$ 1,65. Em termos percentuais, de quanto foi o aumento?
Provas
Questão presente nas seguintes provas
Em uma urna, foram colocadas bolas, cada uma com um número de 1 a 50 (sem repetições). Qual é a probabilidade de retirarmos uma bola e ela estar com um número que é múltiplo de 5?
Provas
Questão presente nas seguintes provas
Os gatos domésticos podem chegar a uma velocidade de 48km/h. Qual foi o tempo gasto por um gato que percorreu 72 km, mantendo essa velocidade?
Provas
Questão presente nas seguintes provas
Para encher uma piscina, 6 torneiras totalmente abertas despejam 32 litros de água por minuto.
Quantos litros por minuto despejarão 15 torneiras, nas mesmas condições?
Quantos litros por minuto despejarão 15 torneiras, nas mesmas condições?
Provas
Questão presente nas seguintes provas
Qual é o resultado da equação X + 2 ( x + 3 )/7 = 15
Provas
Questão presente nas seguintes provas
Em um relógio, a cada hora, o ponteiro grande dá uma volta de 60 minutos. Quantas horas se passaram, se o ponteiro grande percorreu 270 minutos?
Provas
Questão presente nas seguintes provas
Em uma certa cidade, o valor pago pelo consumo de água em uma residência é dado por:

Qual foi o valor pago por uma família que consumiu 34 m3 ?
Provas
Questão presente nas seguintes provas
Para encher uma piscina, 6 torneiras totalmente abertas despejam 32 litros de água por minuto. Quantos litros por minuto despejarão 15 torneiras, nas mesmas condições?
Provas
Questão presente nas seguintes provas
Cadernos
Caderno Container