Foram encontradas 419 questões.
Disciplina: TI - Desenvolvimento de Sistemas
Banca: Col. Pedro II
Orgão: Col. Pedro II
A palavra-chave list atribui elementos de uma matriz a uma lista de variáveis.
Dado o exemplo de código a seguir:
|
<!DOCTYPE html> |
O que será impresso na tela é
Provas
Disciplina: TI - Desenvolvimento de Sistemas
Banca: Col. Pedro II
Orgão: Col. Pedro II
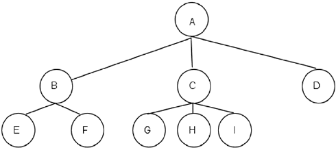
Uma árvore é um tipo abstrato de dados que armazena elementos de maneira hierárquica. Com exceção do elemento do topo, cada elemento tem um elemento pai e zero ou mais elementos filhos. Uma árvore normalmente é desenhada colocando-se os elementos dentro de elipses ou retângulos e conectando pais e filhos com linhas retas. Normalmente o elemento topo é chamado de raiz da árvore, mas é desenhado como o elemento mais alto, com todos os demais conectados abaixo (exatamente ao contrário de uma árvore real).
O percurso de uma árvore é a maneira ordenada de percorrer todos os seus nós, sem repetir nenhum e sem deixar de passar por nenhum. É utilizado, por exemplo, para consultar ou alterar as informações contidas nos nós. Porém, em algumas outras aplicações, queremos visitar os nós em certa ordem desejada.
Dada a árvore a seguir:

Assinale a alternativa que indica o nome do percurso utilizado e a ordem dos nós percorridos.
Provas
Disciplina: TI - Desenvolvimento de Sistemas
Banca: Col. Pedro II
Orgão: Col. Pedro II
Dada a função para encontrar um nome em uma listbox:
|
function TFMain.Busca_Bin(n : longint; nome : ): longint; |
Os tipos de variáveis que deverão ser usados para as variáveis identificadas como nome, meio e achou são, respectivamente,
Provas
Disciplina: TI - Desenvolvimento de Sistemas
Banca: Col. Pedro II
Orgão: Col. Pedro II
É dado a seguir um exemplo prático de como declarar propriedades e métodos usando os modificadores de acesso presentes na linguagem PHP:
|
<?php class A { protected $a = 'a'; private $b = 'b'; public $c = 'c'; function m_a() { echo 'm_a'; } } class B extends A { public function m_b() { // Quais atributos e métodos da classe A são acessíveis neste escopo? } } ?> |
Considerando os membros da classe A ($a, $b, $c e m_a()), e de acordo com as regras de visibilidade, os membros que são acessíveis no método m_b(). são
Provas
Disciplina: TI - Desenvolvimento de Sistemas
Banca: Col. Pedro II
Orgão: Col. Pedro II
O código Python 3.7.13 a seguir implementa um algoritmo de ordenação conhecido como Bubble Sort. Observe as funções implementadas:
|
def troca(elementos, p1, p2): elementos[p1], elementos[p2] = elementos[p2], elementos[p1] def bubble_sort(elementos): for n in range(len(elementos)-1, 0, -1): for i in range(n): if elementos[i] > elementos[i + 1]: troca(elementos, i, i + 1) |
Considerando como entrada uma lista de N números inteiros, o maior número possível de chamadas à função troca(elementos, p1, p2) para ordenar essa lista é
Provas
Disciplina: TI - Desenvolvimento de Sistemas
Banca: Col. Pedro II
Orgão: Col. Pedro II
Dado um código em Python, que pede 5 nomes de candidatos e, após a entrada dos nomes, escreve na tela um desses nomes a partir de um sorteio:
|
1 |
random |
Os comandos ou métodos ou operadores que completam as linhas 1, 2, 3, 4 e 6 (tendo em vista que os hifens foram utilizados para separarem os comandos) são:
Provas
Disciplina: TI - Desenvolvimento de Sistemas
Banca: Col. Pedro II
Orgão: Col. Pedro II
- Fundamentos de ProgramaçãoEstruturas de DadosEstrutura de Dados: Fila
- Fundamentos de ProgramaçãoEstruturas de DadosEstrutura de Dados: Pilha
Considere duas estruturas de dados vazias:
• uma fila f (política FIFO) contemplando operações de:
o enfileirar ENQUEUE(x), que insere um elemento x na fila;
o desenfileirar DEQUEUE(), que retorna um elemento e o remove da fila;
• uma pilha p (política LIFO) contemplando operações de:
o empilhar PUSH(x), que insere um elemento x na pilha;
o desempilhar POP(), que retorna um elemento e o remove da pilha.
É dada esta sequência de operações:
|
f.ENQUEUE (2) f.ENQUEUE (3) f.ENQUEUE (5) p.PUSH(4) p.PUSH(6) f.ENQUEUE (p.POP()) f.DEQUEUE () f.DEQUEUE () f.ENQUEUE (p.POP()) f.DEQUEUE () f DEQUEUE () |
O estado final da fila f contém o elemento
Provas
Disciplina: TI - Desenvolvimento de Sistemas
Banca: Col. Pedro II
Orgão: Col. Pedro II
Observe o diagrama UML a seguir e o código Python associado:

O Design Pattern empregado é
Provas
Imagens visualizadas voluntariamente a partir de estímulos imprecisos do ambiente, como olhar uma nuvem e ver nela um animal, é uma forma de percepção chamada de , que indicam .
Assinale a alternativa que apresenta os termos que preenchem, respectivamente e de forma correta, as lacunas.
Provas
Paciente percebe distorcidamente, como horríveis e dignos de enorme vergonha, partes do seu corpo ou pequenos defeitos físicos que passariam despercebidos na maioria das pessoas, levando muitas vezes à realização de diversas cirurgias e hábitos intensos de dietas e exercícios. O paciente tem como diagnóstico
Provas
Caderno Container