Foram encontradas 50 questões.
No Excel, a função INV.NORM.N(0,1;2;4) retorna o valor
Provas
Questão presente nas seguintes provas
*Considere a informação para responder à questão .
“Em uma escola de ensino médio, a probabilidade de um aluno jogar vôlei é 1/5, enquanto que a probabilidade de jogar futebol é 1/3.”
A probabilidade de um aluno sorteado aleatoriamente jogar vôlei e não jogar futebol, sabendo-se que os eventos “jogar vôlei” e “jogar futebol” são independentes, é “Em uma escola de ensino médio, a probabilidade de um aluno jogar vôlei é 1/5, enquanto que a probabilidade de jogar futebol é 1/3.”
Provas
Questão presente nas seguintes provas
Um fabricante afirma que as TVs de plasma de sua produção têm consumo médio menor que 350 watts. Para verificar essa afirmação, obteve-se uma amostra de 25 TVs e mediu-se o consumo de energia de cada uma. A média amostral foi de 353,8 watts e o desvio padrão amostral foi de 5,6 watts. Supondo que a distribuição do consumo de energia é Normal, ao nível de 5% de significância a região crítica do teste a ser utilizado é
Provas
Questão presente nas seguintes provas
Sabe-se que a probabilidade de que uma pessoa tenha sangue O+ é 0,1. Em um dia, a probabilidade de que o 10º doador que chega a um hemocentro seja o primeiro a ter sangue O+ é
Provas
Questão presente nas seguintes provas
Deseja-se estimar o número médio de mulheres empregadas na indústria utilizando uma amostragem estratificada proporcional ao tamanho do estrato, com as indústrias estratificadas de acordo com a localização no estado. A tabela apresenta o número de indústrias (Nh) da população no estrato h e resultados da amostra, em que
é o número médio de mulheres na amostra do estrato h e s2h é a variância amostral. Sabe-se que a amostra total era composta por 70 indústrias.
h Localização Nh
s2h
1 Interior 2000 5 16
2 Capital 5000 20 80
A estimativa para o número médio ( μ) de mulheres na indústria e a variância do estimador de μ são, respectivamente,
é o número médio de mulheres na amostra do estrato h e s2h é a variância amostral. Sabe-se que a amostra total era composta por 70 indústrias. h Localização Nh
s2h 1 Interior 2000 5 16
2 Capital 5000 20 80
A estimativa para o número médio ( μ) de mulheres na indústria e a variância do estimador de μ são, respectivamente,
Provas
Questão presente nas seguintes provas
- FundamentosAnálise de Tabelas e GráficosGráfico de Colunas ou Barras Justapostas
- Estatística Descritiva
Utilizando um conjunto de dados com 50 observações, ajustou-se um modelo de regressão linear múltipla Yi = ß0 + ß1Xi1 + ß2Xi2 + ß3Xi3 + ei , onde supõe-se que os erros ei são não correlacionados e têm distribuição normal com média igual a zero e variância constante. Na avaliação da adequação do modelo, construiu-se o gráfico apresentado a seguir:

É correto afirmar que o gráfico indica que

É correto afirmar que o gráfico indica que
Provas
Questão presente nas seguintes provas
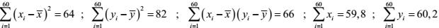
*Considere a informação para responder à questão.
As quantidades a seguir foram obtidas a partir de uma amostra de 60 indivíduos com relação a duas características: X e Y.

O coeficiente de correlação amostral entre x e y é igual a As quantidades a seguir foram obtidas a partir de uma amostra de 60 indivíduos com relação a duas características: X e Y.

Provas
Questão presente nas seguintes provas
- Distribuições de ProbabilidadeDistribuições DiscretasBinomial
- Distribuições de ProbabilidadeDistribuições ContínuasQui-Quadrado
Componentes eletrônicos são vendidos em caixas com cinco unidades. Deseja-se verificar se o número Xi de componentes defeituosos em uma caixa tem distribuição Binomial. Para isso, uma amostra de 100 caixas foi analisada e Xi foi observado. Em seguida, a probabilidade de um componente ser defeituoso foi estimada como
.Satisfeitos os devidos requisitos, o teste Qui-Quadrado para aderência de uma distribuição foi então aplicado. Sob a hipótese nula de aderência, a estatística do teste aplicado tem distribuição aproximadamente Qui-Quadrado com quantos graus de liberdade?
.Satisfeitos os devidos requisitos, o teste Qui-Quadrado para aderência de uma distribuição foi então aplicado. Sob a hipótese nula de aderência, a estatística do teste aplicado tem distribuição aproximadamente Qui-Quadrado com quantos graus de liberdade? Provas
Questão presente nas seguintes provas
Uma variável aleatória contínua X tem função densidade dada por

É correto afirmar que o valor do terceiro quartil correspondente é

É correto afirmar que o valor do terceiro quartil correspondente é
Provas
Questão presente nas seguintes provas
- Estatística DescritivaMedidas de Dispersão
- Estatística DescritivaMedidas de Tendência CentralQuartil, Decil e Percentil
*Considere a informação para responder à questão.
Duas marcas de cigarros (A e B) foram analisadas quanto à quantidade de nicotina (em mg) contida nos seus produtos. Os resultados obtidos são resumidos na tabela.
Marca Média Desvio Padrão Mínimo 1º Quartil 2º Quartil 3º Quartil Máximo Percentil 60
A 0,81 0,25 0,20 0,73 0,80 0,88 1,40 0,82
B 1,16 0,28 0,20 0,95 1,20 1,28 1,40  1,25
Diante do exposto, analise. Duas marcas de cigarros (A e B) foram analisadas quanto à quantidade de nicotina (em mg) contida nos seus produtos. Os resultados obtidos são resumidos na tabela.
Marca Média Desvio Padrão Mínimo 1º Quartil 2º Quartil 3º Quartil Máximo Percentil 60
A 0,81 0,25 0,20 0,73 0,80 0,88 1,40 0,82
B 1,16 0,28 0,20 0,95 1,20 1,28 1,40  1,25
I. Metade dos cigarros da marca A tiveram quantidade de nicotina menor ou igual a 0,81 mg.
II. Metade dos cigarros da marca B tiveram quantidade de nicotina entre 0,95 mg e 1,28 mg.
III. Dos cigarros da marca A, 60% tiveram quantidade de nicotina igual a 0,82 mg.
Está(ão) correta(s) a(s) afirmativa(s)
Provas
Questão presente nas seguintes provas
Cadernos
Caderno Container