Foram encontradas 50 questões.
1038686
Ano: 2014
Disciplina: Direito Educacional e Tecnológico
Banca: IDECAN
Orgão: Col. Pedro II
Disciplina: Direito Educacional e Tecnológico
Banca: IDECAN
Orgão: Col. Pedro II
Provas:
O Colégio Pedro II é uma das instituições que constituem, no âmbito do sistema federal de ensino, a Rede Federal de Educação Profissional, Científica e Tecnológica, vinculada ao Ministério da Educação, conforme Lei nº 11.892/2008. Assim, nos termos da referida legislação, é correto afirmar que o Colégio Pedro II possui natureza jurídica de
Provas
Questão presente nas seguintes provas
1038685
Ano: 2014
Disciplina: Direito Educacional e Tecnológico
Banca: IDECAN
Orgão: Col. Pedro II
Disciplina: Direito Educacional e Tecnológico
Banca: IDECAN
Orgão: Col. Pedro II
Provas:
A Lei nº 11.892/2008 dispõe que “o Colégio Pedro II terá a mesma estrutura e organização dos Institutos Federais de Educação, Ciência e Tecnologia”. A respeito da estrutura e organização dos referidos Institutos Federais, assinale a afirmativa INCORRETA.
Provas
Questão presente nas seguintes provas
1038684
Ano: 2014
Disciplina: Direito Educacional e Tecnológico
Banca: IDECAN
Orgão: Col. Pedro II
Disciplina: Direito Educacional e Tecnológico
Banca: IDECAN
Orgão: Col. Pedro II
Provas:
Acerca da Lei Federal nº 11.091/2005, que dispõe sobre a estruturação do Plano de Carreira dos Cargos Técnico-Administrativos em Educação, no âmbito das Instituições Federais de Ensino vinculadas ao Ministério da Educação, assinale a alternativa correta.
Provas
Questão presente nas seguintes provas
1038683
Ano: 2014
Disciplina: Direito Educacional e Tecnológico
Banca: IDECAN
Orgão: Col. Pedro II
Disciplina: Direito Educacional e Tecnológico
Banca: IDECAN
Orgão: Col. Pedro II
Provas:
Relacione adequadamente as conceituações trazidas pela Lei Federal nº 11.091/2005 às respectivas características.
1. Plano de carreira. ( ) Área específica de atuação do servidor, integrada por atividades afins ou complementares,
organizada a partir das necessidades institucionais e que orienta a política de
desenvolvimento de pessoal.
2. Nível de classificação. ( ) Posição do servidor na escala de vencimento da carreira em função do nível de capacitação,
cargo e nível de classificação.
3. Padrão de vencimento. ( ) Conjunto de princípios, diretrizes e normas que regulam o desenvolvimento profissional
dos servidores titulares de cargos que integram determinada carreira, constituindo-se em
instrumento de gestão do órgão ou entidade.
4. Ambiente organizacional. ( ) Conjunto de cargos de mesma hierarquia, classificados a partir do requisito de escolaridade,
nível de responsabilidade, conhecimentos, habilidades específicas, formação especializada,
experiência, risco e esforço físico para o desempenho de suas atribuições.
A sequência está correta em
1. Plano de carreira. ( ) Área específica de atuação do servidor, integrada por atividades afins ou complementares,
organizada a partir das necessidades institucionais e que orienta a política de
desenvolvimento de pessoal.
2. Nível de classificação. ( ) Posição do servidor na escala de vencimento da carreira em função do nível de capacitação,
cargo e nível de classificação.
3. Padrão de vencimento. ( ) Conjunto de princípios, diretrizes e normas que regulam o desenvolvimento profissional
dos servidores titulares de cargos que integram determinada carreira, constituindo-se em
instrumento de gestão do órgão ou entidade.
4. Ambiente organizacional. ( ) Conjunto de cargos de mesma hierarquia, classificados a partir do requisito de escolaridade,
nível de responsabilidade, conhecimentos, habilidades específicas, formação especializada,
experiência, risco e esforço físico para o desempenho de suas atribuições.
A sequência está correta em
Provas
Questão presente nas seguintes provas
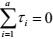
Considere um experimento aleatorizado em blocos completos em que há um fator A com a níveis e um fator de ruído B com b níveis (blocos). Sobre o modelo linear estatístico utilizado para analisar esse experimento, analise.
I. A soma dos efeitos dos níveis do fator A é zero, ou seja,
II. ß j ~ N ( 0,s2ß ) , em que ß j , j = 1, ..., b , é o efeito do nível j do fator B.
III. É importante testar se há efeito de interação entre o fator A e o fator B.
Está(ão) correta(s) apenas a(s) afirmativa(s)
I. A soma dos efeitos dos níveis do fator A é zero, ou seja,

II. ß j ~ N ( 0,s2ß ) , em que ß j , j = 1, ..., b , é o efeito do nível j do fator B.
III. É importante testar se há efeito de interação entre o fator A e o fator B.
Está(ão) correta(s) apenas a(s) afirmativa(s)
Provas
Questão presente nas seguintes provas
*Considere a informação para responder à questão.
As quantidades a seguir foram obtidas a partir de uma amostra de 60 indivíduos com relação a duas características: X e Y.

Um modelo de regressão linear simples Yi = ß0 + ß1Xi + ε i foi ajustado aos dados. A estimativa de mínimos quadrados para ß1 é As quantidades a seguir foram obtidas a partir de uma amostra de 60 indivíduos com relação a duas características: X e Y.

Provas
Questão presente nas seguintes provas
Cultura e terror
Essa minha ideia de que o homem é, sobretudo, um ser cultural, não deve ser entendida como uma visão idealizada e otimista, pelo simples fato de que isso o distingue dos outros seres naturais.
Se somos seres culturais, se pensamos e com nosso pensamento inventamos os valores que constituem a nossa humanidade, diferimos dos outros animais, que se atêm a sua animalidade e agem conforme suas necessidades vitais imediatas.
Entendo que, ao contrário dos outros animais, o homem nasceu incompleto e, por essa razão, teve de inventar-se e inventar o mundo em que vive. Por exemplo, um bisão ou um tigre nasce com todos os recursos necessários à sua sobrevivência, mas o homem, para caçar o bisão, teve que inventar a lança.
Isso, no plano material. Mas nasceu incompleto também no plano intelectual, porque é o único animal que se pergunta por que nasceu, que sentido tem a existência. Para responder a essas e outras perguntas, inventou a religião, a filosofia, a ciência e a arte.
Assim, construiu, ao longo da história, uma realidade cultural, inventada, que alcança hoje uma complexidade extraordinária e fascinante. O homem deixou de viver na natureza para viver na cidade que foi criada por ele.
Mas, o fato mesmo de se inventar como ser cultural criou-lhe graves problemas, nascidos, em grande parte, daqueles valores culturais. É que, por serem inventados, variam de uma comunidade humana para outra, gerando muitas vezes conflitos insuperáveis. As diversas concepções filosóficas, religiosas, estéticas e políticas podem levar os homens a divergências insuperáveis e até mesmo a conflitos mortais.
Pode ser que me engane, mas a impressão que tenho é de que o homem, por ser essencialmente os seus valores, tem que afirmá-los perante o outro e obter dele sua aceitação. Se o outro não os aceita, sente-se negado em sua própria existência. Daí por que, a tendência, em certos casos, é levá-lo a aceitá-los por bem ou por mal. Chega-se à agressão, à guerra.
Certamente, nem sempre é assim, depende dos indivíduos e das comunidades humanas; depende sobretudo de quais valores os fundamentam.
De modo geral, é no campo da religião e da política que a intolerância se manifesta com maior frequência e radicalismo. A história humana está marcada por esses conflitos, que resultaram muitas vezes em guerras religiosas, com o sacrifício de centenas de milhares de vidas.
Com o desenvolvimento econômico e ampliação do conhecimento científico, a questão religiosa caiu para segundo plano, enquanto o problema ideológico ganhou o centro das atenções.
A questão da riqueza, da desigualdade social e consequentemente da justiça social tornou-se o núcleo dos conflitos entre as classes e o poder político.
Esse fenômeno, que se formou em meados do século XIX, ocuparia todo o século XX, com o surgimento dos Estados socialistas. O ápice desse conflito foi a Guerra Fria, resultante do antagonismo entre os Estados Unidos e a União Soviética.
Surpreendente, porém, é que, em pleno século do desenvolvimento científico e tecnológico, tenha eclodido uma das expressões mais irracionais da intolerância religiosa: o terrorismo islâmico, surgido de uma interpretação fanatizada daquela doutrina.
O terrorismo não nasceu agora mas, a partir do conflito entre judeus e palestinos, lideranças fundamentalistas islâmicas o adotaram como arma de uma guerra santa contra a civilização ocidental, que não segue as palavras sagradas do Corão.
Em consequência disso, homens e mulheres jovens, transformados em bombas humanas, não hesitam em suicidar-se inutilmente, convencidos de que cumprem a vontade de Alá e serão recompensados com o paraíso.
Parece loucura e, de fato, o é, mas diferente da doença psíquica propriamente dita. É uma loucura decorrente do fanatismo político ou religioso, que muda o amor a Deus em ódio aos infiéis.
Embora o Corão condene o assassinato de inocentes, na opinião dos promotores de tais atentados - que matam sobretudo inocentes - só é proibido matar os “nossos” inocentes, como afirmou Bin Laden, não os inocentes “deles”.
Tudo isso mostra que o homem é mesmo um ser cultural, mas que a cultura tanto pode nos transformar em santos como em demônios.
(Ferreira Gullar. Cultura e terror. Folha de São Paulo. Abril/2013. Disponível em: http://www1.folha.uol.com.br/colunas/ferreiragullar/1269134-cultura-e-terror.shtml.)
Provas
Questão presente nas seguintes provas
Cultura e terror
Essa minha ideia de que o homem é, sobretudo, um ser cultural, não deve ser entendida como uma visão idealizada e otimista, pelo simples fato de que isso o distingue dos outros seres naturais.
Se somos seres culturais, se pensamos e com nosso pensamento inventamos os valores que constituem a nossa humanidade, diferimos dos outros animais, que se atêm a sua animalidade e agem conforme suas necessidades vitais imediatas.
Entendo que, ao contrário dos outros animais, o homem nasceu incompleto e, por essa razão, teve de inventar-se e inventar o mundo em que vive. Por exemplo, um bisão ou um tigre nasce com todos os recursos necessários à sua sobrevivência, mas o homem, para caçar o bisão, teve que inventar a lança.
Isso, no plano material. Mas nasceu incompleto também no plano intelectual, porque é o único animal que se pergunta por que nasceu, que sentido tem a existência. Para responder a essas e outras perguntas, inventou a religião, a filosofia, a ciência e a arte.
Assim, construiu, ao longo da história, uma realidade cultural, inventada, que alcança hoje uma complexidade extraordinária e fascinante. O homem deixou de viver na natureza para viver na cidade que foi criada por ele.
Mas, o fato mesmo de se inventar como ser cultural criou-lhe graves problemas, nascidos, em grande parte, daqueles valores culturais. É que, por serem inventados, variam de uma comunidade humana para outra, gerando muitas vezes conflitos insuperáveis. As diversas concepções filosóficas, religiosas, estéticas e políticas podem levar os homens a divergências insuperáveis e até mesmo a conflitos mortais.
Pode ser que me engane, mas a impressão que tenho é de que o homem, por ser essencialmente os seus valores, tem que afirmá-los perante o outro e obter dele sua aceitação. Se o outro não os aceita, sente-se negado em sua própria existência. Daí por que, a tendência, em certos casos, é levá-lo a aceitá-los por bem ou por mal. Chega-se à agressão, à guerra.
Certamente, nem sempre é assim, depende dos indivíduos e das comunidades humanas; depende sobretudo de quais valores os fundamentam.
De modo geral, é no campo da religião e da política que a intolerância se manifesta com maior frequência e radicalismo. A história humana está marcada por esses conflitos, que resultaram muitas vezes em guerras religiosas, com o sacrifício de centenas de milhares de vidas.
Com o desenvolvimento econômico e ampliação do conhecimento científico, a questão religiosa caiu para segundo plano, enquanto o problema ideológico ganhou o centro das atenções.
A questão da riqueza, da desigualdade social e consequentemente da justiça social tornou-se o núcleo dos conflitos entre as classes e o poder político.
Esse fenômeno, que se formou em meados do século XIX, ocuparia todo o século XX, com o surgimento dos Estados socialistas. O ápice desse conflito foi a Guerra Fria, resultante do antagonismo entre os Estados Unidos e a União Soviética.
Surpreendente, porém, é que, em pleno século do desenvolvimento científico e tecnológico, tenha eclodido uma das expressões mais irracionais da intolerância religiosa: o terrorismo islâmico, surgido de uma interpretação fanatizada daquela doutrina.
O terrorismo não nasceu agora mas, a partir do conflito entre judeus e palestinos, lideranças fundamentalistas islâmicas o adotaram como arma de uma guerra santa contra a civilização ocidental, que não segue as palavras sagradas do Corão.
Em consequência disso, homens e mulheres jovens, transformados em bombas humanas, não hesitam em suicidar-se inutilmente, convencidos de que cumprem a vontade de Alá e serão recompensados com o paraíso.
Parece loucura e, de fato, o é, mas diferente da doença psíquica propriamente dita. É uma loucura decorrente do fanatismo político ou religioso, que muda o amor a Deus em ódio aos infiéis.
Embora o Corão condene o assassinato de inocentes, na opinião dos promotores de tais atentados - que matam sobretudo inocentes - só é proibido matar os “nossos” inocentes, como afirmou Bin Laden, não os inocentes “deles”.
Tudo isso mostra que o homem é mesmo um ser cultural, mas que a cultura tanto pode nos transformar em santos como em demônios.
(Ferreira Gullar. Cultura e terror. Folha de São Paulo. Abril/2013. Disponível em: http://www1.folha.uol.com.br/colunas/ferreiragullar/1269134-cultura-e-terror.shtml.)
I. “[...] uma das expressões mais irracionais da intolerância religiosa: o terrorismo islâmico, [...]” (13º§)
II. “[...] na opinião dos promotores de tais atentados – que matam sobretudo inocentes – [...]” (17º§)
De acordo com o contexto, eles foram usados para
Provas
Questão presente nas seguintes provas
Cultura e terror
Essa minha ideia de que o homem é, sobretudo, um ser cultural, não deve ser entendida como uma visão idealizada e otimista, pelo simples fato de que isso o distingue dos outros seres naturais.
Se somos seres culturais, se pensamos e com nosso pensamento inventamos os valores que constituem a nossa humanidade, diferimos dos outros animais, que se atêm a sua animalidade e agem conforme suas necessidades vitais imediatas.
Entendo que, ao contrário dos outros animais, o homem nasceu incompleto e, por essa razão, teve de inventar-se e inventar o mundo em que vive. Por exemplo, um bisão ou um tigre nasce com todos os recursos necessários à sua sobrevivência, mas o homem, para caçar o bisão, teve que inventar a lança.
Isso, no plano material. Mas nasceu incompleto também no plano intelectual, porque é o único animal que se pergunta por que nasceu, que sentido tem a existência. Para responder a essas e outras perguntas, inventou a religião, a filosofia, a ciência e a arte.
Assim, construiu, ao longo da história, uma realidade cultural, inventada, que alcança hoje uma complexidade extraordinária e fascinante. O homem deixou de viver na natureza para viver na cidade que foi criada por ele.
Mas, o fato mesmo de se inventar como ser cultural criou-lhe graves problemas, nascidos, em grande parte, daqueles valores culturais. É que, por serem inventados, variam de uma comunidade humana para outra, gerando muitas vezes conflitos insuperáveis. As diversas concepções filosóficas, religiosas, estéticas e políticas podem levar os homens a divergências insuperáveis e até mesmo a conflitos mortais.
Pode ser que me engane, mas a impressão que tenho é de que o homem, por ser essencialmente os seus valores, tem que afirmá-los perante o outro e obter dele sua aceitação. Se o outro não os aceita, sente-se negado em sua própria existência. Daí por que, a tendência, em certos casos, é levá-lo a aceitá-los por bem ou por mal. Chega-se à agressão, à guerra.
Certamente, nem sempre é assim, depende dos indivíduos e das comunidades humanas; depende sobretudo de quais valores os fundamentam.
De modo geral, é no campo da religião e da política que a intolerância se manifesta com maior frequência e radicalismo. A história humana está marcada por esses conflitos, que resultaram muitas vezes em guerras religiosas, com o sacrifício de centenas de milhares de vidas.
Com o desenvolvimento econômico e ampliação do conhecimento científico, a questão religiosa caiu para segundo plano, enquanto o problema ideológico ganhou o centro das atenções.
A questão da riqueza, da desigualdade social e consequentemente da justiça social tornou-se o núcleo dos conflitos entre as classes e o poder político.
Esse fenômeno, que se formou em meados do século XIX, ocuparia todo o século XX, com o surgimento dos Estados socialistas. O ápice desse conflito foi a Guerra Fria, resultante do antagonismo entre os Estados Unidos e a União Soviética.
Surpreendente, porém, é que, em pleno século do desenvolvimento científico e tecnológico, tenha eclodido uma das expressões mais irracionais da intolerância religiosa: o terrorismo islâmico, surgido de uma interpretação fanatizada daquela doutrina.
O terrorismo não nasceu agora mas, a partir do conflito entre judeus e palestinos, lideranças fundamentalistas islâmicas o adotaram como arma de uma guerra santa contra a civilização ocidental, que não segue as palavras sagradas do Corão.
Em consequência disso, homens e mulheres jovens, transformados em bombas humanas, não hesitam em suicidar-se inutilmente, convencidos de que cumprem a vontade de Alá e serão recompensados com o paraíso.
Parece loucura e, de fato, o é, mas diferente da doença psíquica propriamente dita. É uma loucura decorrente do fanatismo político ou religioso, que muda o amor a Deus em ódio aos infiéis.
Embora o Corão condene o assassinato de inocentes, na opinião dos promotores de tais atentados - que matam sobretudo inocentes - só é proibido matar os “nossos” inocentes, como afirmou Bin Laden, não os inocentes “deles”.
Tudo isso mostra que o homem é mesmo um ser cultural, mas que a cultura tanto pode nos transformar em santos como em demônios.
(Ferreira Gullar. Cultura e terror. Folha de São Paulo. Abril/2013. Disponível em: http://www1.folha.uol.com.br/colunas/ferreiragullar/1269134-cultura-e-terror.shtml.)
Provas
Questão presente nas seguintes provas
Cultura e terror
Essa minha ideia de que o homem é, sobretudo, um ser cultural, não deve ser entendida como uma visão idealizada e otimista, pelo simples fato de que isso o distingue dos outros seres naturais.
Se somos seres culturais, se pensamos e com nosso pensamento inventamos os valores que constituem a nossa humanidade, diferimos dos outros animais, que se atêm a sua animalidade e agem conforme suas necessidades vitais imediatas.
Entendo que, ao contrário dos outros animais, o homem nasceu incompleto e, por essa razão, teve de inventar-se e inventar o mundo em que vive. Por exemplo, um bisão ou um tigre nasce com todos os recursos necessários à sua sobrevivência, mas o homem, para caçar o bisão, teve que inventar a lança.
Isso, no plano material. Mas nasceu incompleto também no plano intelectual, porque é o único animal que se pergunta por que nasceu, que sentido tem a existência. Para responder a essas e outras perguntas, inventou a religião, a filosofia, a ciência e a arte.
Assim, construiu, ao longo da história, uma realidade cultural, inventada, que alcança hoje uma complexidade extraordinária e fascinante. O homem deixou de viver na natureza para viver na cidade que foi criada por ele.
Mas, o fato mesmo de se inventar como ser cultural criou-lhe graves problemas, nascidos, em grande parte, daqueles valores culturais. É que, por serem inventados, variam de uma comunidade humana para outra, gerando muitas vezes conflitos insuperáveis. As diversas concepções filosóficas, religiosas, estéticas e políticas podem levar os homens a divergências insuperáveis e até mesmo a conflitos mortais.
Pode ser que me engane, mas a impressão que tenho é de que o homem, por ser essencialmente os seus valores, tem que afirmá-los perante o outro e obter dele sua aceitação. Se o outro não os aceita, sente-se negado em sua própria existência. Daí por que, a tendência, em certos casos, é levá-lo a aceitá-los por bem ou por mal. Chega-se à agressão, à guerra.
Certamente, nem sempre é assim, depende dos indivíduos e das comunidades humanas; depende sobretudo de quais valores os fundamentam.
De modo geral, é no campo da religião e da política que a intolerância se manifesta com maior frequência e radicalismo. A história humana está marcada por esses conflitos, que resultaram muitas vezes em guerras religiosas, com o sacrifício de centenas de milhares de vidas.
Com o desenvolvimento econômico e ampliação do conhecimento científico, a questão religiosa caiu para segundo plano, enquanto o problema ideológico ganhou o centro das atenções.
A questão da riqueza, da desigualdade social e consequentemente da justiça social tornou-se o núcleo dos conflitos entre as classes e o poder político.
Esse fenômeno, que se formou em meados do século XIX, ocuparia todo o século XX, com o surgimento dos Estados socialistas. O ápice desse conflito foi a Guerra Fria, resultante do antagonismo entre os Estados Unidos e a União Soviética.
Surpreendente, porém, é que, em pleno século do desenvolvimento científico e tecnológico, tenha eclodido uma das expressões mais irracionais da intolerância religiosa: o terrorismo islâmico, surgido de uma interpretação fanatizada daquela doutrina.
O terrorismo não nasceu agora mas, a partir do conflito entre judeus e palestinos, lideranças fundamentalistas islâmicas o adotaram como arma de uma guerra santa contra a civilização ocidental, que não segue as palavras sagradas do Corão.
Em consequência disso, homens e mulheres jovens, transformados em bombas humanas, não hesitam em suicidar-se inutilmente, convencidos de que cumprem a vontade de Alá e serão recompensados com o paraíso.
Parece loucura e, de fato, o é, mas diferente da doença psíquica propriamente dita. É uma loucura decorrente do fanatismo político ou religioso, que muda o amor a Deus em ódio aos infiéis.
Embora o Corão condene o assassinato de inocentes, na opinião dos promotores de tais atentados - que matam sobretudo inocentes - só é proibido matar os “nossos” inocentes, como afirmou Bin Laden, não os inocentes “deles”.
Tudo isso mostra que o homem é mesmo um ser cultural, mas que a cultura tanto pode nos transformar em santos como em demônios.
(Ferreira Gullar. Cultura e terror. Folha de São Paulo. Abril/2013. Disponível em: http://www1.folha.uol.com.br/colunas/ferreiragullar/1269134-cultura-e-terror.shtml.)
Provas
Questão presente nas seguintes provas
Cadernos
Caderno Container