Foram encontradas 671 questões.
Um tubo tem diâmetro interno e externo, respectivamente, de 50 e 70 mm. Assim como indicado na figura abaixo, a extremidade do tubo é apertada no ponto A e na chave B.
Determine o torque interno do tubo com as forças indicadas na figura.

Provas
A barra da figura abaixo possui espessura e largura constantes de 35 e 10 mm, respectivamente. Qual parte da barra possui maior tensão normal?

Provas
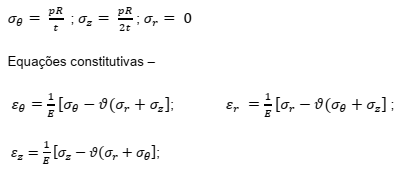
Um tanque cilíndrico, com tampas, tem raio externo R e espessura de parede t, como apresentado na figura abaixo. Quando o tanque é pressurizado, um extensômetro, montado na parede externa numa direção paralela ao eixo z do tanque, mede a deformação longitudinal εz . Assim, a pressão no interior do tanque ρ pode ser monitorada pela deformação medida através do extensômetro.
Determine a expressão da pressão máxima de operação a partir da deformação longitudinal εz


sendo E módulo de elasticidade;
coeficiente de Poisson; ρ é a pressão.
Provas
Na figura abaixo, se a diferença de pressão é de 99,2 mm de mercúrio, determine a velocidade de escoamento e a vazão em l/s. Admita o escoamento em regime permanente, escoamento incompressível e desaceleração sem atrito.
Dados: ρH2O = 1000kg /m3 ; g = 9,81m / s; gravidade específica do mercúrio = 13,6; ρar = 1,23kg /m3

Provas
Considere um tubo com líquido, conforme figura abaixo. Pede-se encontrar uma expressão geral para ∆h como função do diâmetro do tubo D, desconsiderando medidas feitas e o volume no meio do menisco. Calcule, também, o Dmin para a água no qual ∆h = −1mm(depressão).


Dados: cos(0) = 1,0; ρ = 0,998 g/cm3 ; g = 9,8m/s2
Provas
Um compósito deve ser reforçado com fibras contínuas e orientadas, os módulos de elasticidade nas direções longitudinal e transversal são de 19,7 e 3,66 GPa, respectivamente. Se a fração volumétrica das fibras é de 0,25, determine os módulos de elasticidade das fases fibra (Ef ) e matriz ( Em ).
Dado: Ecl = Em(1 - Vf ) + Ef (Vf);
Provas
As seguintes tensões verdadeiras produzem as correspondentes deformações plásticas verdadeiras para uma liga de latão:

Qual tensão verdadeira é necessária para produzir uma deformação plástica verdadeira de 0,25? [Utilize a equação de Hollomon σv = k (ev)n ]
Dados: log(50 000) = 4,6989; log(60 000) = 4,7781; log(0,20) = -0,6989.
Provas
Uma lâmina de ferro de 3mm de espessura separa câmaras de NH3 ambas a 950°C. Nas superfícies das lâminas, têm-se, respectivamente, 0,1% (3,29 x 1020 átomos/cm3 ) e 0,05% (1,645 x 1020 átomos/cm3 ) em peso de nitrogênio. Determine o fluxo específico de átomos de nitrogênio através da lâmina em átomos e em gramas/cm2s.
Dado: coeficiente de difusão de nitrogênio na austenita a 950°C igual a 0,0002571mm 2/s
Provas
Provas
Prata (Ag) (massa atômica = 107,868 uma; densidade 10,49 g/cm3 ) e Paládio (Pd) (massa atômica = 106,4 uma; densidade = 12,02 g/cm3 ) são completamente solúveis um no outro, tanto no estado líquido quanto no sólido. O ponto de fusão da Ag é 961,93°C e o do Pd é de 1 566°C. Uma liga contendo 10% em peso de Pd começa a solidificar a 1 050°C, formando cristais com 15% em peso de Pd. Uma liga com 30% em peso de Pd começa a solidificar a 1 200°C, formando cristais com 38% em peso de Pd. Uma liga com 50% de Pd em peso começa a solidificar a 1 320°C, formando cristais com 65% de Pd. Uma liga com 80% de Pd em peso começa a solidificar a 1 500°C, formando cristais com 95% de Pd.
Para uma liga contendo 70% em peso de Ag, indique a temperatura de início de solidificação e a densidade da liga à temperatura ambiente. Admita que o volume da liga é a soma dos componentes.
Provas
Caderno Container