Foram encontradas 2.625 questões.
Julgue os itens de 45 a 50 relativos à identificação por rádio
frequência (RFID).
A comunicação entre leitores e etiquetas, que constituem os elementos básicos dos sistemas RFID, pode ser realizada por meio de ondas sonoras, induzidas no momento em que leitores e etiquetas se aproximam fisicamente.frequência (RFID).
Provas
Questão presente nas seguintes provas
Com relação aos princípios de sistemas de comunicações, julgue os
itens a seguir.
Um sistema de comunicações via rádio que utilize o método de duplexação FDD e necessite de uma banda de 5 MHz para o enlace direto e de outra de 5 MHz para o enlace reverso requererá, para a operação, uma faixa contígua de frequência com largura de 10 MHz.itens a seguir.
Provas
Questão presente nas seguintes provas
Considerando a transmissão de um sinal de áudio monofônico, cuja
largura de banda é igual a 15 kHz, julgue os seguintes itens.
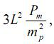
Considere que um quantizador uniforme propicie uma razão sinal-ruído de quantização dada por , em que RSR = largura de banda é igual a 15 kHz, julgue os seguintes itens.
em que L é o número de níveis de quantização, Provas
Questão presente nas seguintes provas
A respeito da sustentabilidade na indústria da construção, julgue os itens subsecutivos.
Para a implantação do plano de conservação de água em uma edificação, é necessário avaliar a demanda e a oferta desse bem, para que se busquem soluções técnica e economicamente viáveis.
Para a implantação do plano de conservação de água em uma edificação, é necessário avaliar a demanda e a oferta desse bem, para que se busquem soluções técnica e economicamente viáveis.
Provas
Questão presente nas seguintes provas
- Gerenciamento, Planejamento e Controle de Obras
- Fiscalização de Obras
- Orçamento no Planejamento e Controle de Obras na Engenharia Civil
A respeito dos conceitos e das responsabilidades sobre elaboração de relatórios e laudos técnicos, julgue os itens subsequentes.
Laudos de inspeção predial são os que caracterizam o check-up da edificação, para avaliar suas condições técnicas, funcionais e de conservação.
Laudos de inspeção predial são os que caracterizam o check-up da edificação, para avaliar suas condições técnicas, funcionais e de conservação.
Provas
Questão presente nas seguintes provas
Considerando que as estruturas de concreto armado são as mais utilizadas em obras civis no país e que devem ser dimensionadas e executadas de acordo com preceitos conceituais e executivos sólidos e com normas técnicas específicas, julgue os itens que se seguem.
A menor dimensão da seção transversal de pilares-parede maciços de qualquer formato deve ser superior ou igual a valor estabelecido em função do diâmetro das barras da armadura.
A menor dimensão da seção transversal de pilares-parede maciços de qualquer formato deve ser superior ou igual a valor estabelecido em função do diâmetro das barras da armadura.
Provas
Questão presente nas seguintes provas
Acerca de instalações prediais de gás, julgue os itens a seguir.
A vazão de gás em um tubo cilíndrico de abastecimento é função do diâmetro e do comprimento do tubo.
A vazão de gás em um tubo cilíndrico de abastecimento é função do diâmetro e do comprimento do tubo.
Provas
Questão presente nas seguintes provas
Com relação a planejamento e controle de obras civis, julgue os próximos itens.
O custo de cada atividade a ser realizada deve constar no cronograma físico de uma obra.
O custo de cada atividade a ser realizada deve constar no cronograma físico de uma obra.
Provas
Questão presente nas seguintes provas
- Gerenciamento, Planejamento e Controle de Obras
- Orçamento no Planejamento e Controle de Obras na Engenharia Civil
Considerando que a elaboração de orçamento realista e coerente é de fundamental importância para o sucesso de um empreendimento, julgue os itens a seguir, a respeito de orçamentos de obras prediais.
Para o estabelecimento do custo do serviço de emboço em um prédio residencial, deve-se considerar, ao se levantar a quantidade necessária de materiais, que a área a ser coberta por emboço é aproximadamente 25% maior que a área coberta por chapisco.
Para o estabelecimento do custo do serviço de emboço em um prédio residencial, deve-se considerar, ao se levantar a quantidade necessária de materiais, que a área a ser coberta por emboço é aproximadamente 25% maior que a área coberta por chapisco.
Provas
Questão presente nas seguintes provas
Julgue os itens a seguir, relativos a instalações prediais hidráulicas de água fria.
Para a aplicação da fórmula de Hazen-Williams, comumente utilizada para a determinação de vazão em tubos, é suficiente conhecer a medida do diâmetro interno do tubo e o valor da perda de carga hidráulica por unidade de comprimento do tubo.
Para a aplicação da fórmula de Hazen-Williams, comumente utilizada para a determinação de vazão em tubos, é suficiente conhecer a medida do diâmetro interno do tubo e o valor da perda de carga hidráulica por unidade de comprimento do tubo.
Provas
Questão presente nas seguintes provas
Cadernos
Caderno Container