Magna Concursos

Foram encontradas 40 questões.

63053 Ano: 2008
Disciplina: Matemática
Banca: ESPP
Orgão: Correios
Provas:

A raiz da equação 10x + [4x - (x + 3)] = 10 é:

 

Provas

Questão presente nas seguintes provas
63052 Ano: 2008
Disciplina: Matemática
Banca: ESPP
Orgão: Correios
Provas:

O valor de y na equação 2y - 4 = 18 é:

 

Provas

Questão presente nas seguintes provas
63051 Ano: 2008
Disciplina: Matemática
Banca: ESPP
Orgão: Correios
Provas:

O valor de x na proporção Enunciado 3659712-1 é:

 

Provas

Questão presente nas seguintes provas
63050 Ano: 2008
Disciplina: Matemática
Banca: ESPP
Orgão: Correios
Provas:

Com 50 Kg de trigo, um moinho consegue produzir 35 kg de farinha. A quantidade de trigo que é necessária para produzir 210 kg de farinha é:

 

Provas

Questão presente nas seguintes provas
63049 Ano: 2008
Disciplina: Matemática
Banca: ESPP
Orgão: Correios
Provas:

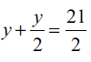
O valor de y na equação Enunciado 3659709-1 é:

 

Provas

Questão presente nas seguintes provas
63048 Ano: 2008
Disciplina: Matemática
Banca: ESPP
Orgão: Correios
Provas:

O valor numérico de + 3.(-9) - (-1)4 + (-2)3 -1 é:

 

Provas

Questão presente nas seguintes provas
63047 Ano: 2008
Disciplina: Matemática
Banca: ESPP
Orgão: Correios
Provas:

Avalor da expressão 2 - 3{2 - [(-3 + 2).(3 - 5)]} - 1é:

 

Provas

Questão presente nas seguintes provas
63046 Ano: 2008
Disciplina: Matemática
Banca: ESPP
Orgão: Correios
Provas:

Um termômetro marcava - 4 graus pela manhã, mas, à tarde, a temperatura aumentou para 6 graus. Houve, portanto, uma variação de:

 

Provas

Questão presente nas seguintes provas
63045 Ano: 2008
Disciplina: Matemática
Banca: ESPP
Orgão: Correios
Provas:

A distância percorrida pelos atletas na maratona de São Paulo é 42 km, essa distância, em centímetros, é:

 

Provas

Questão presente nas seguintes provas
63044 Ano: 2008
Disciplina: Matemática
Banca: ESPP
Orgão: Correios
Provas:

Daniel tem 1,55 metro de altura, e seu amigo Pedro, 12 centímetros a mais. A altura de Pedro, em centímetros é:

 

Provas

Questão presente nas seguintes provas