Foram encontradas 50 questões.
Os acessórios mais prosaicos de muitos aparelhos eletrônicos que as pessoas conectam nas tomadas de suas casas e escritórios são os carregadores de energia. São aquelas caixinhas que ficam entre a tomada e o aparelho ou, às vezes, estão integradas na tomada. Sua função é converter a corrente alternada de alta voltagem da rede elétrica para corrente contínua de baixa voltagem para celulares, laptops, iPods e outros aparelhos eletrônicos. Cerca de 5 bilhões desses aparelhos estão em uso no mundo todo.
A conversão era feita usando fios de cobre. Tipicamente, metade da energia que eles obtinham da rede elétrica, e em alguns, até 80%, se perdia na conversão. Como consequência, as contas de energia e as emissões de carbono eram mais altas que o necessário.
Fazer a conversão com circuitos integrados é muito mais eficiente, com uma perda de apenas 20% da energia. A tecnologia para isso está disponível há muitos anos e custa apenas 30% a mais que o método com fios de cobre, mas o mercado deu pouco incentivo aos fabricantes para a troca de tecnologia. Os adaptadores de energia são baratos, geralmente custando 2 dólares ou menos. Fabricantes de eletrodomésticos tendem a comprá-los de empresas em Taiwan ou na China. Os contratos são definidos por uma fração de centavo por unidade. E como os consumidores não pensam no consumo de energia quando compram um celular ou laptop, os fabricantes preferem usar os fios de cobre.
(The Economist, 16 de dezembro de 2009. Adaptado)
Assinale a alternativa que completa, correta e respectivamente, as lacunas da frase, no que se refere à concordância verbal e nominal.
A pesquisa acerca da conversão feita com fios de cobre ainda está atrasada; mais investimentos das empresas e de consumidores que pensem no consumo de energia ao comprar seus aparelhos.
Provas
Questão presente nas seguintes provas
Os acessórios mais prosaicos de muitos aparelhos eletrônicos que as pessoas conectam nas tomadas de suas casas e escritórios são os carregadores de energia. São aquelas caixinhas que ficam entre a tomada e o aparelho ou, às vezes, estão integradas na tomada. Sua função é converter a corrente alternada de alta voltagem da rede elétrica para corrente contínua de baixa voltagem para celulares, laptops, iPods e outros aparelhos eletrônicos. Cerca de 5 bilhões desses aparelhos estão em uso no mundo todo.
A conversão era feita usando fios de cobre. Tipicamente, metade da energia que eles obtinham da rede elétrica, e em alguns, até 80%, se perdia na conversão. Como consequência, as contas de energia e as emissões de carbono eram mais altas que o necessário.
Fazer a conversão com circuitos integrados é muito mais eficiente, com uma perda de apenas 20% da energia. A tecnologia para isso está disponível há muitos anos e custa apenas 30% a mais que o método com fios de cobre, mas o mercado deu pouco incentivo aos fabricantes para a troca de tecnologia. Os adaptadores de energia são baratos, geralmente custando 2 dólares ou menos. Fabricantes de eletrodomésticos tendem a comprá-los de empresas em Taiwan ou na China. Os contratos são definidos por uma fração de centavo por unidade. E como os consumidores não pensam no consumo de energia quando compram um celular ou laptop, os fabricantes preferem usar os fios de cobre.
(The Economist, 16 de dezembro de 2009. Adaptado)
Assinale a alternativa em que a flexão verbal está corretamente empregada.
Provas
Questão presente nas seguintes provas
Os acessórios mais prosaicos de muitos aparelhos eletrônicos que as pessoas conectam nas tomadas de suas casas e escritórios são os carregadores de energia. São aquelas caixinhas que ficam entre a tomada e o aparelho ou, às vezes, estão integradas na tomada. Sua função é converter a corrente alternada de alta voltagem da rede elétrica para corrente contínua de baixa voltagem para celulares, laptops, iPods e outros aparelhos eletrônicos. Cerca de 5 bilhões desses aparelhos estão em uso no mundo todo.
A conversão era feita usando fios de cobre. Tipicamente, metade da energia que eles obtinham da rede elétrica, e em alguns, até 80%, se perdia na conversão. Como consequência, as contas de energia e as emissões de carbono eram mais altas que o necessário.
Fazer a conversão com circuitos integrados é muito mais eficiente, com uma perda de apenas 20% da energia. A tecnologia para isso está disponível há muitos anos e custa apenas 30% a mais que o método com fios de cobre, mas o mercado deu pouco incentivo aos fabricantes para a troca de tecnologia. Os adaptadores de energia são baratos, geralmente custando 2 dólares ou menos. Fabricantes de eletrodomésticos tendem a comprá-los de empresas em Taiwan ou na China. Os contratos são definidos por uma fração de centavo por unidade. E como os consumidores não pensam no consumo de energia quando compram um celular ou laptop, os fabricantes preferem usar os fios de cobre.
(The Economist, 16 de dezembro de 2009. Adaptado)
Em - Os acessórios mais prosaicos de muitos aparelhos eletrônicos... - a expressão em destaque apresenta como antônimo:
Provas
Questão presente nas seguintes provas
Considerando os diagramas da UML 2.0, há um tipo especial de associação na qual se estabelece um relacionamento hierárquico, formando um conjunto que atua como uma entidade maior e mais complexa. Esse tipo especial de associação tem a denominação de
Provas
Questão presente nas seguintes provas
O Diagrama de Fluxo de Dados (DFD), utilizado na análise estruturada, em seu nível O (zero), é conhecido também como diagrama
Provas
Questão presente nas seguintes provas
Na linguagem de programação CF, o tipo de valor que representa números inteiros, sem sinal, com valores que variam de 0a 4.294.967.295 é o
Provas
Questão presente nas seguintes provas
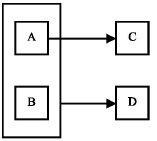
Considere o seguinte diagrama de dependências funcionais, originado de uma tabela de um Banco de Dados Relacional.

Nessa figura, A e B representam, respectivamente, os papéis de
Provas
Questão presente nas seguintes provas
Considere o seguinte diagrama de dependências funcionais, originado da tabela T de um Banco de Dados Relacional.

Supondo que não haja atributos multivalorados, o maior grau de normalização em que se encontra a tabela T é a
Provas
Questão presente nas seguintes provas
O módulo de um Sistema Gerenciador de Bancos de Dados Relacionais diretamente responsável pela realização da execução das consultas efetuadas pelos usuários é o
Provas
Questão presente nas seguintes provas
Considere o seguinte comando SQL em um Banco de Dados Relacional:
UPDATE T1
SETA=A*2
WHERE A < 200
Esse comando SQL tem como resultado a atualização do campo A da tabela T1,
Provas
Questão presente nas seguintes provas
Cadernos
Caderno Container