Foram encontradas 309 questões.
- FundamentosPotenciação e RadiciaçãoRadiciação
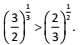
- FundamentosPotenciação e RadiciaçãoPotenciação
- Álgebra
É correto afirmar que

Provas
Texto para o item

Em relação ao texto e a seus aspectos linguísticos, julgue o item .
Depreende-se da leitura do texto que a divulgação de postagens e vídeos violentos e com discurso de ódio pela Internet pode encorajar a realização de massacres como os ocorridos em Christchurch, na Nova Zelândia, e em São Paulo, no Brasil.
Provas

No que se refere ao texto e a seus aspectos linguísticos, julgue o item.
Na linha 9, o vocábulo “Todos” está empregado em referência ao termo “colegas”.
Provas

Julgue o item quanto à correção gramatical e à coerência da proposta de reescrita para o período destacado do texto.
“Na Escola Estadual Raul Brasil, em março de 2019, dois ex-alunos entraram armados e a primeira pessoa a ser assassinada foi a professora de filosofia e coordenadora pedagógica Marilena Umezu, que os recebeu.” (linhas 4 e 5): Em março de 2019, dois ex-alunos entraram armados na Escola Estadual Raul Brasil, e a primeira pessoa a ser assassinada foi a professora de filosofia e coordenadora pedagógica Marilena Umezu, que os recebeu.
Provas

No que se refere ao texto e a seus aspectos linguísticos, julgue o item.
De acordo com o texto, entre os elementos cruciais da cultura estadunidense, insere-se o uso de armas de fogo, defendido como direito à autodefesa dos cidadãos.
Provas
Texto para o item

Em relação ao texto e a seus aspectos linguísticos, julgue o item .
Pelos sentidos do texto, conclui-se que o termo “os” (linha 3) corresponde a os suspeitos.
Provas
Texto para o item

Em relação ao texto e a seus aspectos linguísticos, julgue o item .
O texto, que se caracteriza como dissertativo do gênero notícia jornalística, trata da difusão de atos violentos e ideias extremistas pela Internet.
Provas

No que se refere ao texto e a seus aspectos linguísticos, julgue o item.
No texto, o termo “paradigmáticos” (linha 1) está associado, quanto ao sentido, à expressão “marca a ser copiada” (linha 3).
Provas
Texto para o item

Quanto à correção gramatical e à coerência das substituições propostas para vocábulos e trechos destacados do texto, julgue o item.
“seja no mundo real ou virtual” (linha 18) por seja no mundo real, seja no virtual.
Provas

No que se refere ao texto e a seus aspectos linguísticos, julgue o item.
No texto, estruturado em forma dissertativa, o autor expõe, de forma imparcial, a polêmica gerada pela facilitação do acesso às armas pela população.
Provas
Caderno Container