Foram encontradas 50 questões.
A função da linguagem R que pode ser utilizada para se
calcular a média de um vetor de valores é a
Provas
Questão presente nas seguintes provas
Ao se lançar um dado de 20 lados, com os números de 1 a 20
gravados nas faces, a esperança populacional é de
Provas
Questão presente nas seguintes provas
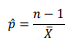
Sendo X uma variável aleatória geométrica com parâmetro p, assinale a alternativa que apresenta o estimador correto de máxima verossimilhança de p, com base em uma amostra de tamanho n.
Provas
Questão presente nas seguintes provas
Em um determinado tempo de resposta ao
atendimento em um serviço de suporte técnico, foram
coletados os seguintes dados, em minutos, para diferentes
casos atendidos: 40; 31; 18; 42; 28; 25; 35; 47; 32; e 55.
Com base nessa situação hipotética, assinale a alternativa que apresenta o valor correto da mediana desses tempos de resposta.
Com base nessa situação hipotética, assinale a alternativa que apresenta o valor correto da mediana desses tempos de resposta.
Provas
Questão presente nas seguintes provas
Em um estudo sobre a eficácia de uma vacina contra uma
determinada doença, um erro tipo II ocorre quando
Provas
Questão presente nas seguintes provas
Em uma festa junina, a quantidade de doces que
cada criança recebe em uma barraca de pescaria segue uma
distribuição normal, com média de dez doces e desvio-padrão
de dois doces.
Com base nessa situação hipotética, assinale a alternativa que apresenta a probabilidade aproximada de Maria Valentina ter pescado mais de quinze doces, supondo-se que, para Z ~ N(0,1), o valor aproximado de P(Z < 1,5) seja de 93,32% e o valor aproximado de P(Z < 2,5) seja de 99,38%.
Com base nessa situação hipotética, assinale a alternativa que apresenta a probabilidade aproximada de Maria Valentina ter pescado mais de quinze doces, supondo-se que, para Z ~ N(0,1), o valor aproximado de P(Z < 1,5) seja de 93,32% e o valor aproximado de P(Z < 2,5) seja de 99,38%.
Provas
Questão presente nas seguintes provas
Em uma pesquisa sobre o desempenho de
nadadores em provas de 100 m livres, foi coletada uma
amostra de tamanho 8, composta dos seguintes tempos:
54 segundos; 57 segundos; 62 segundos; 64 segundos;
66 segundos; 70 segundos; 72 segundos; e 75 segundos.
Sabe-se que a média da população é de 65 segundos, com
uma variância de 21 segundos ao quadrado.
Com base nessa situação hipotética e considerando todas as possíveis amostras aleatórias simples, com reposição, de tamanho 3 dessa população, assinale a alternativa que apresenta a variância da distribuição amostral das médias.
Com base nessa situação hipotética e considerando todas as possíveis amostras aleatórias simples, com reposição, de tamanho 3 dessa população, assinale a alternativa que apresenta a variância da distribuição amostral das médias.
Provas
Questão presente nas seguintes provas
A função de densidade de probabilidade da distribuição de
Rayleigh é dada por
x ≥ 0, em que σ é o parâmetro de escala da distribuição. Sendo assim, assinale
a alternativa que apresenta a função de distribuição
acumulada da distribuição de Rayleigh para x ∈ [0, ∞).
Provas
Questão presente nas seguintes provas
Uma estatística está investigando o peso, em quilos,
de uma determinada população. Para obter informações sobre
a distribuição dos pesos, ela coletou uma amostra aleatória de
cem indivíduos e registrou seus respectivos pesos. Ao analisar
os dados obtidos, a estatística optou por utilizar um diagrama
de Ramo e Folhas como uma forma visual de representar a
distribuição dos pesos. A partir dos dados coletados, ela
construiu o diagrama de Ramo e Folhas a seguir.

Com base nessa situação hipotética, assinale a alternativa que apresenta a quantidade de indivíduos da amostra que tem peso maior ou igual a 70 kg.

Com base nessa situação hipotética, assinale a alternativa que apresenta a quantidade de indivíduos da amostra que tem peso maior ou igual a 70 kg.
Provas
Questão presente nas seguintes provas
Assinale a alternativa que não apresenta um dado não
estruturado.
Provas
Questão presente nas seguintes provas
Cadernos
Caderno Container