Foram encontradas 50 questões.
Provas
Provas
Provas
, são processosProvas
Nas questões que avaliem conhecimentos de informática, a menos que seja explicitamente informado o contrário, considere que: todos os programas mencionados estejam em configuração-padrão, em português; o mouse esteja configurado para pessoas destras; expressões como clicar, clique simples e clique duplo refiram-se a cliques com o botão esquerdo do mouse; e teclar corresponda à operação de pressionar uma tecla e, rapidamente, liberá-la, acionando-a apenas uma vez. Considere também que não haja restrições de proteção, de funcionamento e de uso em relação aos programas, arquivos, diretórios, recursos e equipamentos mencionados.

Com relação à figura acima, que representa o modo estrutura de uma tabela no Microsoft Access 2000, assinale a alternativa correta.
Provas
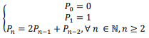
Os números de Pell são definidos pela relação de recorrência seguinte.

Assinale a alternativa que apresenta o P8.
Provas
Provas
Provas
Texto para a questão.

Internet: <corrreiobraziliense.com.br> (com adaptações).
Provas
Texto para a questão.

Internet: <corrreiobraziliense.com.br> (com adaptações).
Provas
Caderno Container