Foram encontradas 70 questões.

O valor de RB, em Ù, encontra-se na faixa:
Provas

Provas

Provas
Em um diodo Zener, um dos mecanismos que ocorrem para que se obtenha a tensão reversa é por meio de colisões de um portador minoritário, gerando energia para quebrar ligações covalentes. Esse mecanismo recebe a denominação de
Provas
A curva característica de um diodo túnel é:
Provas
Os símbolos do transistor MOSFET do tipo intensificação(enhancement) canal n e canal p são, respectivamente,
Provas
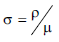
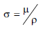
Considerando um material condutor (metal) e que ¦Ì seja a mobilidade desse material e ¦Ñ sua densidade de cargas, sua condutividade (¦Ò) ¨¦ calculada por:
Provas
A lei da continuidade, utilizada para representar o fluxo de cargas em materiais semicondutores, estabelece o princípio de que
Provas
Considerando a estrutura de bandas de energia, assinale a característica básica de um material isolante.
Provas
Um material semicondutor intrínseco é transformado em extrínseco por meio
Provas
Caderno Container