Foram encontradas 2.134 questões.

Provas
Questão presente nas seguintes provas

Provas
Questão presente nas seguintes provas

Provas
Questão presente nas seguintes provas

Provas
Questão presente nas seguintes provas

Provas
Questão presente nas seguintes provas

Provas
Questão presente nas seguintes provas
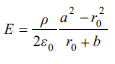
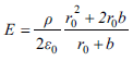
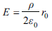
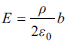
Um gás ionizado é considerado um plasma “bona fide” quando efeitos coletivos dominam sobre as interações individuais entre as partículas carregadas. Grandezas importantes para caracterizar um plasma são a densidade, n, a temperatura eletrônica, T, a frequência de plasma, ωp, e o comprimento de Debye, λD.
Com relação a esses parâmetros, pode-se afirmar queProvas
Questão presente nas seguintes provas

Provas
Questão presente nas seguintes provas

Provas
Questão presente nas seguintes provas

Provas
Questão presente nas seguintes provas
Cadernos
Caderno Container