Foram encontradas 50 questões.
Observe o fragmento de código em C a seguir.
int algoritmo(char *x, char *y) {
int i,j,m,n;
m=strlen(x);
n=strlen(y);
for (i = 0; i <= n-m; i++) {
j = 0;
while ((y[i+j] == x[j]) && (j < m))
j++;
if (j == m)
return i;
}
return -1;
}
Qual o objetivo desse código?
Provas
Um programador PHP foi contratado para desenvolver um sistema de informação de uma empresa. Em sua primeira reunião com o gerente de projetos, expôs as afirmativas a seguir sobre o PHP.
I - É impossível executar o servidor PHP no Windows Server 2003, uma vez que ainda não existe versão do PHP para essa plataforma.
II - O banco de dados MySQL poderá ser utilizado como opção de persistência para o sistema de informação em questão.
III - Por ser híbrida, a linguagem PHP permite que sejam usadas as sintaxes do Python e do JAVA, além de sua própria sintaxe.
Está(ão) correta(s) a(s) afirmativa(s)
Provas
Em seus estudos para se formar Analista de Sistemas, Paulo reconheceu, em uma lista, um item que NÃO é exemplo de sistema operacional, identificado em
Provas
Seja T a árvore binária representada a seguir.

Qual o primeiro nó obtido ao se percorrer T com o algoritmo de pré-ordem?
Provas
O projeto de um sistema WEB, que segue uma metodologia de desenvolvimento baseada no RUP, chega ao final da fase de elaboração. O resultado principal dessa fase é
Provas
Observe o código HTML a seguir.
<html>
<head>
<meta http-equiv=”Content-Type” content=”text/html; charset=UTF-8" />
<title>DECEA</title>
</head>
<body>
<h1>DECEA</h1>
<ul>
<li>Concursos</li>
<li>Eventos</li>
<li>Institucional</li>
<li>Projetos</li>
<li>Publicações</li>
</ul>
</body>
</html>
Qual o resultado desse código em um navegador (Firefox, por exemplo)?
Provas
- Modelo TCP/IPModelo TCP/IP: Camada de Transporte
- Protocolos e ServiçosRedes, Roteamento e TransporteNAT: Network Address Translation
- Segurança de RedesAnálise de Tráfego
- TCP/IPTCP: Transmission Control Protocol
Observe o tráfego de rede a seguir, que foi capturado no momento em que uma estação X se conectou, via browser (navegador), ao site do DECEA.
1. 16:03:05.037328 IP 192.168.0.102.61286 > www.decea.gov.br.http: S 2262776193:2262776193(0) win 65535 <mss 1460,nop,wscale 3,nop,nop,timestamp 947686693 0,sackOK,eol>
2. 16:03:05.045994 IP www.decea.gov.br.http > 192.168.0.102.61286: S 2848004579:2848004579(0) ack 2262776194 win 16384 <mss 1460,nop,wscale 0,nop,nop,timestamp 0 0,nop,nop,sackOK>
3. 16:03:05.046031 IP 192.168.0.102.61286 > www.decea.gov.br.http: . ack 1 win 65535 <nop,nop,timestamp 947686693 0>
4. 16:03:05.046299 IP 192.168.0.102.61286 > www.decea.gov.br.http: P 1:617(616) ack 1 win 65535 <nop,nop,timestamp 947686693 0>
5. 16:03:05.070058 IP www.decea.gov.br.http > 192.168.0.102.61286: . 1:525(524) ack 617 win 65535 <nop,nop,timestamp 27251730 947686693>
6. 16:03:05.070812 IP www.decea.gov.br.http > 192.168.0.102.61286: . 525:1049(524) ack 617 win 65535 <nop,nop,timestamp 27251730 947686693>
7. 16:03:05.253880 IP 192.168.0.102.61286 > www.decea.gov.br.http: . ack 1049 win 65535 <nop,nop,timestamp 947686695 27251730>
É INCORRETO afirmar que o(a)
Provas
A matriz de uma empresa é interligada a suas filiais por meio de links privados de comunicação de dados utilizando encapsulamento HDLC. Esse encapsulamento NÃO provê o(a)
Provas
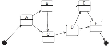
Observe o diagrama de estado UML a seguir.

Para chegar ao estado final, deve-se passar necessariamente pelo estado
Provas
Dois equipamentos estão conectados entre si e se comunicam utilizando, em nível físico, start e stop bits. Isso significa que o modo de transmissão é
Provas
Caderno Container