Magna Concursos

Foram encontradas 60 questões.

905652 Ano: 2016
Disciplina: Engenharia Mecânica
Banca: UECE
Orgão: DER-CE
Provas:

Atente ao que se afirma sobre os tipos de gestão de estoques.

I. Estoque mínimo está ligado à menor quantidade de um item em estoque para prevenir uma eventualidade que se deve ao consumo além do previsto ou atraso na entrega de novas mercadorias.

II. Estoque médio refere-se ao estoque normal somado ao estoque de segurança.

III. Estoque máximo diz respeito à quantidade máxima de produtos (determinada previamente) armazenados por um determinado período até que se faça novo pedido.

IV. Estoque de proteção é o estoque formado para evitar que a empresa seja “pega de surpresa” e fique desabastecida em caso de greve, aumento abusivo de preços, dentre outras eventualidades.

É correto o que se afirma apenas em

 

Provas

Questão presente nas seguintes provas
905651 Ano: 2016
Disciplina: Engenharia Mecânica
Banca: UECE
Orgão: DER-CE
Provas:

No âmbito geral, os indicadores de desempenho fornecem informações sobre temas fundamentais da gestão de uma organização, tais como nível de efetividade, eficácia, eficiência, qualidade, economia de recursos e produtividade dos produtos/serviços, além de apontar o grau de melhoria da gestão. Considerando esses temas, analise as afirmações abaixo.

I. A efetividade também conhecida como eficácia consiste na quantidade e na qualidade de produtos e serviços entregues ao usuário.

II. A eficiência e a efetividade são entendidas, respectivamente, como: a relação entre os produtos e serviços gerados com os insumos empregados, e a quantidade e qualidade de produtos e serviços entregues ao usuário.

III. A dimensão de economicidade está alinhada ao conceito de obtenção e uso de recursos com o menor ônus possível, dentro dos requisitos e das quantidades exigidas pelo input, gerindo adequadamente os recursos financeiros e físicos, enquanto a eficiência está relacionada ao grau de satisfação ou, ainda, ao valor agregado.

Está correto o que se afirma em

 

Provas

Questão presente nas seguintes provas
905650 Ano: 2016
Disciplina: Engenharia Mecânica
Banca: UECE
Orgão: DER-CE
Provas:
A Lei nº 8666/93, que institui normas para licitações e contratos, na Seção III, das obras e serviços, veta, sem exceções, a
 

Provas

Questão presente nas seguintes provas
905649 Ano: 2016
Disciplina: Engenharia Mecânica
Banca: UECE
Orgão: DER-CE
Provas:
Com relação aos diferentes tipos de combustíveis utilizados em motores do ciclo Diesel e Otto, marque a opção que contém a afirmação correta.
 

Provas

Questão presente nas seguintes provas
905648 Ano: 2016
Disciplina: Engenharia Mecânica
Banca: UECE
Orgão: DER-CE
Provas:

Considerando os motores de combustão interna, julgue os itens a seguir e assinale com V o que for verdadeiro e com F o que for falso.

( ) A possibilidade de autoignição estabelece um limite inferior para a taxa de compressão em motores de ignição por centelha.

( ) A autoignição pode ocorrer se a temperatura da mistura não queimada tornar-se muito alta antes de a mistura ser consumida pela frente de chama.

( ) Diferentemente do que ocorre com o ciclo Otto, a eficiência térmica do ciclo Diesel aumenta com o aumento da taxa de compressão.

( ) Caso a taxa de compressão seja a mesma, a eficiência térmica do ciclo Diesel será maior do que aquela para o ciclo Otto.

A sequência correta, de cima para baixo, é:

 

Provas

Questão presente nas seguintes provas
905647 Ano: 2016
Disciplina: Engenharia Mecânica
Banca: UECE
Orgão: DER-CE
Provas:
Os indicadores de desempenho podem ser entendidos como a quantificação de quão bem um negócio (suas atividades e processos) atinge uma meta especificada. Logo, a sua devida escolha é crucial para o acompanhamento da realidade da organização. Sobre os indicadores de desempenho, é correto afirmar que
 

Provas

Questão presente nas seguintes provas
905646 Ano: 2016
Disciplina: Engenharia Mecânica
Banca: UECE
Orgão: DER-CE
Provas:

Considere as afirmações abaixo, que versam sobre os diversos tipos de manutenção.

I. A troca de lubrificante realizada conforme recomendação do fabricante do equipamento é uma ação de manutenção preventiva.

II. A substituição de um componente por consequência da parada inesperada de um equipamento é uma ação de manutenção corretiva.

III. O desmonte para análise, em data previamente determinada pelo fabricante do equipamento, mesmo sem identificação de falha, é uma ação de manutenção corretiva.

IV. A monitoração do nível de vibração em um mancal de um equipamento rotativo é uma ação de manutenção preditiva.

Está correto o que se afirma apenas em

 

Provas

Questão presente nas seguintes provas
905645 Ano: 2016
Disciplina: Engenharia Mecânica
Banca: UECE
Orgão: DER-CE
Provas:
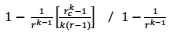
Acerca dos ciclos ar padrão Otto e Diesel, assinale a opção que representa respectivamente a eficiência térmica de cada ciclo.
 

Provas

Questão presente nas seguintes provas
905644 Ano: 2016
Disciplina: Engenharia Mecânica
Banca: UECE
Orgão: DER-CE
Provas:

Em manutenção, a confiabilidade de um determinado equipamento corresponde à sua probabilidade de desempenhar adequadamente o seu propósito especificado, por um determinado período de tempo, sendo um parâmetro importante para a programação das manutenções preventivas.

Considerando um sistema em série composto de três componentes e que a confiabilidade de cada um desses componentes seja de 80%, pode-se afirmar corretamente que o valor da confiabilidade desse sistema é

 

Provas

Questão presente nas seguintes provas
905643 Ano: 2016
Disciplina: Engenharia Mecânica
Banca: UECE
Orgão: DER-CE
Provas:
A partir dos dados do Setor de Manutenção de uma determinada empresa, verificou-se que um gerador apresenta um Tempo Médio entre Falhas (TMEF) de 117 horas e o Tempo Médio de Reparo (TMDR) de 3 horas. A partir dos dados apresentados, assinale a opção que corresponde ao valor correto da disponibilidade desse equipamento.
 

Provas

Questão presente nas seguintes provas