Foram encontradas 100 questões.
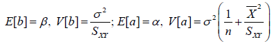
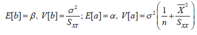
Na estimação dos parâmetros de uma reta de regressão \( Y_i = a + \beta X_i + U_i \), designa-se por a e b os estimadores de \( a \) e \( \beta \) e \( \hat {Y} = a + bX \) a reta estimada. Como os estimadores a e b são funções lineares da variável aleatória normal Y, os mesmos também são variáveis aleatórias com distribuição normal. As respectivas médias e variâncias dos estimadores a e b são:
Provas
Foi realizado um treinamento com 14 técnicos de trânsito (7 homens e 7 mulheres) no qual foi medido o tempo de reação que cada profissional tinha para anotar a placa de um veículo que passasse em alta velocidade. O resultado está apresentado abaixo.
|
Tempo dos Homens (em segundos) |
Tempo das Mulheres (em segundos) |
| 1,1 | 1,0 |
| 1,3 | 1,2 |
| 1,1 | 1,1 |
| 0,9 | 0,8 |
| 0,8 | 0,6 |
| 1,0 | 0,8 |
| 1,0 | 0,9 |
Supondo que o estatístico já verificou a normalidade dos dados e que as variâncias são homogêneas, qual teste ele poderia usar para verificar se há ou não diferença estatisticamente significativa entre os sexos?
Provas
O Detran verificou que um tipo de pneu, utilizado em seus veículos, percorria até estourar, em média 30000 km, com desvio padrão de 300 km, segundo uma distribuição normal. Qual a probabilidade do pneu estourar antes de 30000 km?
Provas
Um estatístico, ao fazer um gráfico de uma variável quantitativa, observa que a distribuição é assimétrica à esquerda. Dessa observação, ele pode concluir:
Provas
Em uma família de 20 motoristas, todos levaram uma multa no último ano conforme a distribuição dos pontos:
| Pontos na carteira | Pessoas |
| 7 | 5 |
| 5 | 6 |
| 4 |
7 |
| 3 | 2 |
Qual é o número mediano de pontos na carteira?
Provas
INSTRUÇÃO: Com base na tabela a seguir, que se refere às distâncias percorridas (em km) pelos cem veículos do DETRAN, na última semana do ano de 2014, responda à questão.
| Distâncias (km) | Frequência Absoluta |
| \( 40 \vdash 80 \) | 20 |
| \( 80 \vdash 120 \) | 25 |
| \( 120 \vdash 160 \) | 40 |
| \( 160 \vdash 200 \) | 15 |
Segundo a tabela dada, o valor da moda será:
Provas
INSTRUÇÃO: Com base na tabela a seguir, que se refere às distâncias percorridas (em km) pelos cem veículos do DETRAN, na última semana do ano de 2014, responda à questão.
| Distâncias (km) | Frequência Absoluta |
| \( 40 \vdash 80 \) | 20 |
| \( 80 \vdash 120 \) | 25 |
| \( 120 \vdash 160 \) | 40 |
| \( 160 \vdash 200 \) | 15 |
Segundo a tabela dada, o valor da mediana será:
Provas
INSTRUÇÃO: Analise o texto abaixo e responda à questão.
O Box-plot (diagrama de caixas) é um gráfico utilizado para verificar a distribuição de uma variável quantitativa. Segundo o Detran, os três tipos de veículos mais frequentes em circulação no município de Cuiabá são: Automóvel, Motocicleta e Caminhonete. Foi feito um levantamento sobre as velocidades em que cada um desses três tipos de veículos foi multado ao passar por um radar onde a velocidade máxima permitida era 60 km/h.

A partir das informações dadas, assinale a afirmativa correta.
Provas
INSTRUÇÃO: Analise o texto abaixo e responda à questão.
O Box-plot (diagrama de caixas) é um gráfico utilizado para verificar a distribuição de uma variável quantitativa. Segundo o Detran, os três tipos de veículos mais frequentes em circulação no município de Cuiabá são: Automóvel, Motocicleta e Caminhonete. Foi feito um levantamento sobre as velocidades em que cada um desses três tipos de veículos foi multado ao passar por um radar onde a velocidade máxima permitida era 60 km/h.

A partir da figura, assinale a afirmativa correta.
Provas
Deseja-se saber se a proporção de usuários de determinado posto de gasolina entre os moradores de uma grande região é realmente 30%, como se imagina. Há uma relação atualizada desses moradores a partir da qual pretende-se retirar uma amostra aleatória simples para fazer essa verificação. Que tamanho deve ter a amostra para que o intervalo de confiança (95%) referente ao parâmetro a ser estimado tenha 10 pontos percentuais para mais e para menos?
Considere z = 2
Provas
Caderno Container