Foram encontradas 40 questões.
Texto para a questão
Um estudo sobre a modelagem de fluxo de veículos em
uma determinada via coletou dados sobre um certo número V de
variáveis. Um estatístico fez uma análise de componentes
principais, usando essas V variáveis, considerando uma matriz de
co-variância na forma
, em que σ² é a
variância da distribuição das V variáveis e – 1 < D < 1 é a
correlação entre duas variáveis. Os auto-valores da matriz E são
iguais a 2, 1, 1, e 1.
Provas
Texto para a questão
Um estudo sobre a modelagem de fluxo de veículos em
uma determinada via coletou dados sobre um certo número V de
variáveis. Um estatístico fez uma análise de componentes
principais, usando essas V variáveis, considerando uma matriz de
co-variância na forma
, em que σ² é a
variância da distribuição das V variáveis e – 1 < D < 1 é a
correlação entre duas variáveis. Os auto-valores da matriz E são
iguais a 2, 1, 1, e 1.
Provas

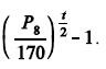
Uma pesquisa levantou o tempo de viagem (em minutos) de pessoas que saem de um determinado bairro da cidade para o centro da cidade em um determinado período do dia. Os resultados encontram-se na tabela acima.
Com base nessas informações, assinale a opção correta.
Provas
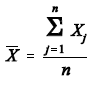
Uma pesquisa deverá ser realizada em certa população para levantar informações acerca de uma variável aleatória Normal X, cuja média e desvio padrão serão expressos, respectivamente, por µ e σ. A pesquisa coletará n réplicas de X, isto é, X1, X2, ..., Xn. Porém, sabe-se que essas variáveis não são independentes. A co-variância entre duas observações Xk e Xh é igual a C > 0, para k≠h.
Nessa situação, assinale a opção correta, acerca das propriedades
da média amostral
.
Provas
Texto para a questão
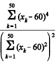
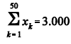
Uma instituição coletou, durante vários dias, uma amostra aleatória do número de veículos que passaram por um posto de contagem. O resultado dessa amostra aleatória pode ser expresso por y1, y2,..., yn, em que yk representa o número de veículos que passaram no posto de contagem no dia k. Em cada dia k também foi registrada a velocidade média dos veículos, xk, em km/h. As seguintes estatísticas foram obtidas:
,
Provas
Texto para a questão
Uma instituição coletou, durante vários dias, uma amostra aleatória do número de veículos que passaram por um posto de contagem. O resultado dessa amostra aleatória pode ser expresso por y1, y2,..., yn, em que yk representa o número de veículos que passaram no posto de contagem no dia k. Em cada dia k também foi registrada a velocidade média dos veículos, xk, em km/h. As seguintes estatísticas foram obtidas:
,
Provas
Texto para a questão
Uma instituição coletou, durante vários dias, uma amostra aleatória do número de veículos que passaram por um posto de contagem. O resultado dessa amostra aleatória pode ser expresso por y1, y2,..., yn, em que yk representa o número de veículos que passaram no posto de contagem no dia k. Em cada dia k também foi registrada a velocidade média dos veículos, xk, em km/h. As seguintes estatísticas foram obtidas:
,
Provas
Texto para a questão

Fonte: IBGE, Censo Demográfico 2000 (com adaptações).
A tabela acima apresenta a distribuição aproximada da população brasileira (em milhões de habitantes), classificada por sexo, segundo os grupos de idade no ano de 2000.
Provas
Texto para a questão

Fonte: IBGE, Censo Demográfico 2000 (com adaptações).
A tabela acima apresenta a distribuição aproximada da população brasileira (em milhões de habitantes), classificada por sexo, segundo os grupos de idade no ano de 2000.
Provas
Texto para a questão
Uma instituição fez dois levantamentos amostrais em um município para avaliar o uso de cinto de segurança pelos condutores de veículos de passeio. O primeiro levantamento envolveu 400 motoristas, dos quais apenas 220 eram usuários do cinto de segurança. Em função desse resultado, foram realizadas campanhas a favor do uso do cinto de segurança. Alguns meses após essas campanhas, realizou-se o segundo levantamento. Dos 100 condutores de veículos de passeio observados no segundo levantamento, 80 eram usuários do cinto de segurança. Com 95% de confiança para o percentual populacional de condutores usuários de cinto de segurança, as margens de erro das duas pesquisas foram, respectivamente, iguais a 5% e 8%.
Provas
Caderno Container