Foram encontradas 70 questões.
Durante tentativa de resgate de refém, o atirador de elite da Polícia Militar do Estado terminou por causar a morte da mesma, não obstante tenha possibilitado a prisão do seqüestrador. A família da refém falecida
Provas
Questão presente nas seguintes provas
- ProlegômenosPrincípios da Administração PúblicaPrincípios Expressos
- ProlegômenosRegime Jurídico Administrativo
A Administração Pública está subordinada ao atendimento, dentre outros, dos princípios abaixo indicados, expressamente elencados na Constituição Federal:
Provas
Questão presente nas seguintes provas
Sendo x e y números naturais, o resultado da divisão de x por y, obtido com auxílio de uma calculadora, foi a dízima periódica 3,333...
Dividindo-se y por x nessa calculadora, o resultado obtido será igual a
Dividindo-se y por x nessa calculadora, o resultado obtido será igual a
Provas
Questão presente nas seguintes provas
Uma pesquisa eleitoral constatou que 15% dos eleitores desejam votar no candidato A, 12% no candidato B, 6% no candidato C, 3% em outros candidatos, e os demais eleitores estão indecisos. Em um gráfico de setores que represente os dados dessa pesquisa, o setor correspon- dente aos eleitores indecisos possui ângulo central de, aproximadamente,
Provas
Questão presente nas seguintes provas
Em uma partida entre Flamengo e Corinthians, o número de torcedores do Flamengo está para o número de torcedores do Corinthians assim como 3 está para 4. Sabendo-se que, no jogo, a soma de torcedores dos dois times é igual a 25235, o número de torcedores do Corinthians presente no estádio é igual a
Provas
Questão presente nas seguintes provas
Observe a seqüência de contas:

Mantendo-se o padrão indicado, o resultado da conta correspondente à linha 437 será

Mantendo-se o padrão indicado, o resultado da conta correspondente à linha 437 será
Provas
Questão presente nas seguintes provas
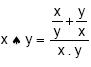
Sendo x e y números reais, admita que o símbolo ? indique a seguinte operação entre x e y:

De acordo com a definição dada,
é igual a

De acordo com a definição dada,
é igual aProvas
Questão presente nas seguintes provas
De acordo com o Estatuto dos Funcionários Públicos Civis do Estado (Lei nº 10.261/68), reintegração é o reingresso no serviço público decorrente
Provas
Questão presente nas seguintes provas
Nos termos do previsto no Estatuto dos Funcionários Públicos Civis do Estado (Lei nº 10.261/68), ao funcionário que, excepcionalmente, se deslocar temporariamente da respectiva sede, no desempenho de suas atribuições, desde que relacionadas com o cargo que exerce, poderá ser concedida
Provas
Questão presente nas seguintes provas
A acumulação de cargos públicos remunerados, de acordo com o Estatuto dos Funcionários Públicos Civis do Estado (Lei nº 10.261/68) e com a Constituição Federal, é permitida, havendo compatibilidade de horário, na seguinte situação:
Provas
Questão presente nas seguintes provas
Cadernos
Caderno Container