Foram encontradas 765 questões.
Uma população normalmente distribuída e de tamanho infinito é formada pelas medidas dos diâmetros, em milímetros (mm), de pequenas esferas fabricadas por uma empresa. Como a variância populacional é desconhecida, extrai-se uma amostra aleatória de 9 esferas da população e considerando a distribuição t de Student apura-se um intervalo de confiança correspondente de 95% para a média μ da população igual a [5,46 ; 8,54], em mm.

O valor da soma (S) das medidas dos diâmetros da amostra elevadas ao quadrado, em mm2, é tal que
Provas
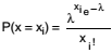
A distribuição de número de peças defeituosas (x) em caixas de 5 peças cada uma é admitida que obedece à lei de Poisson,
ou seja,
. Analisando uma amostra aleatória de N caixas, foi constatada a seguinte distribuição

Observação: ni é o número de caixas contendo xi peças defeituosas e M é o número de caixas com nenhuma peça defeituosa.
Utilizando o método dos momentos obtém-se que a estimativa pontual do parâmetro λ é igual a 0,82. A quantidade de caixas da amostra que apresentou menos que duas peças defeituosas foi
Provas
A tabela abaixo corresponde às frequências absolutas dos salários de todos os homens e de todas as mulheres que são empregados de uma empresa.

Utilizando o método da interpolação linear para o cálculo da mediana, tem-se que o valor da mediana dos homens é igual a R$ 3.750,00 e o das mulheres é igual a
Provas
Durante n dias, observou-se o número de determinado tipo de ocorrência em uma região. Pela tabela resultante abaixo, foi calculado como sendo 1,75 o valor da média aritmética, em número de ocorrências por dia, ponderada pela quantidade de dias. Também foram calculados os valores das correspondentes mediana (Md) e moda (Mo) desta distribuição.

Se x = m(Md + Mo), então m é igual a
Provas
Provas
Provas
Provas
O Regulamento Técnico da Qualidade para o Nível de Eficiência Energética de Edifícios Comerciais, de Serviços e Públicos (RTQ-C) recomenda, para obtenção da etiqueta nível A quanto à eficiência por meio do método prescritivo:
Provas
Com relação a uma curva de frequência de uma distribuição estatística unimodal, considere as afirmações abaixo:
I. Se a moda for inferior à mediana e a mediana for inferior à média, então esta distribuição é assimétrica à direita.
II. Se a distribuição for assimétrica à esquerda, então isto caracteriza uma curva de frequência leptocúrtica.
III. Se a curva de frequência for platicúrtica, então os dados da distribuição estão fracamente concentrados em torno da moda, caso seja comparado com a curva normal padrão.
IV. Se os dados da distribuição estão fortemente concentrados em torno da moda, então o valor da moda é superior ao valor da mediana e o valor da mediana é superior ao valor da média.
O número de afirmações corretas é
Provas
Provas
Caderno Container