Foram encontradas 1.971 questões.
Com relação ao processo de produção de programas de rádio e televisão, julgue os itens de 83 a 97.
Denomina-se back-timing o processo de retrocronometragem de um programa ao vivo a partir do encerramento desejado, como garantia de seu término no momento certo.
Provas

Based on the text, judge the items from 111 to 120.
The fragment of a sentence “one must first consider” (L.24-25), in which the word “one” indicates an unspecified individual, can be correctly translated as deve-se levar em conta.
Provas

De acuerdo con el texto de arriba, juzgue los siguientes ítems.
“Pelo ar sei se estou perto da paria, como quando sinto o ar salgado” equivaldría, en español, a la construcción Sé, por el aire, si estoy cerca de la playa, así como al sentir el aire salado.
Provas
Julgue os próximos itens, referentes à propaganda institucional e à mercadológica.
Os objetivos da propaganda institucional não incluem o de informar o público-alvo da organização.
Provas
- Publicidade e PropagandaProdução PublicitáriaPlanejamento e Campanha PublicitáriaCampanha Publicitária
A clara definição do público-alvo é fundamental para direcionar os trabalhos de criação e mídia. A esse respeito, julgue os itens que se seguem.
Na definição do público-alvo de uma campanha, deve-se levar em consideração a localização geográfica dos consumidores. O comércio business-to-business (B2B) envolve mais recursos financeiros e menos quantidade de produtos do que o comércio feito por consumidores.
Provas
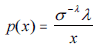
Julgue os itens subsequentes, relativos à família exponencial de distribuições.
A distribuição de Poisson cuja função de probabilidade é expressa pela função p x pertence à família
exponencial.
Provas
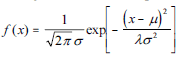
Julgue os itens subsequentes, relativos à família exponencial de distribuições.
A distribuição normal cuja densidade de probabilidade é expressa pela função pertence à
família exponencial.
Provas
Considerando as desigualdades usuais em teoria de probabilidades, julgue os próximos itens.
Supondo que para um sistema de TV ser considerado adequado a frequência do sinal desse sistema não deve diferir em mais de 100 Hz do valor médio para o canal e considerando que, para o sistema de TV X, a oscilação de frequência do sinal tenha desvio padrão igual a 9 Hz, então, a partir da desigualdade de Chebyshev, é correto afirmar que a probabilidade de o sistema X não ser considerado adequado será superior a 0,001.
Provas
A respeito dos modelos conceitual e lógico, normalmente considerados no projeto de banco de dados, julgue os seguintes itens.
No modelo lógico, que depende do tipo de SGBD em uso, o banco de dados é descrito no nível de abstração visto pelo usuário do SGBD.
Provas
- Elementos OrçamentáriosReceita OrçamentáriaClassificação da Receita OrçamentáriaClassificação por Fonte da Receita
Julgue os itens subsequentes, que tratam das receitas e despesas públicas.
No código de classificação da receita orçamentária por fonte de recursos, o segundo dígito define o grupo de destinação de recursos.
Provas
Caderno Container