Foram encontradas 50 questões.

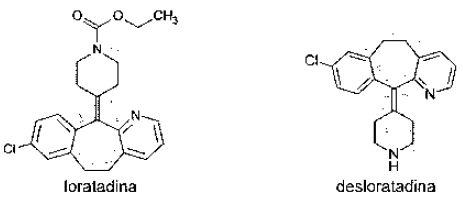
O aumento dos casos de doenças respiratórias como rinites e bronquites, entre outras, é comum com a chegada do outono. Dentre os novos fármacos vendidos, sob prescrição médica, para o controle de alergias, inclusive cutâneas, está a desloratadina, um dos metabólitos da loratadina, que não causa sonolência como os antialérgicos convencionais.
A análise das estruturas químicas da loratadina e da desloratina permite afirmar:
Provas
Os hidrocarbonetos são compostos químicos muito utilizados como combustíveis e em processos industriais. Entretanto os gases metano, etano e propano são hidrocarbonetos considerados asfixiantes quando estão em ambientes onde o ar contém níveis insuficientes de oxigênio. O eteno, gás incolor usado como anestésico simples em animais, e o propeno têm propriedades toxicológicas semelhantes, sendo, também, nocivos para as plantas.
Considerando-se essas informações e as estruturas e propriedades dos hidrocarbonetos, é correto afirmar:
Provas

A solução padrão do !$ \alpha !$-tocoferol, representado pela estrutura química, é preparada pela dissolução de 0,1g deste composto químico em 100,0m!$ \ell !$ de etanol absoluto, C2H6O(!$ \ell !$), solvente tóxico e inflamável. O !$ \alpha !$-tocoferol, massa molar igual a 430gmol-1, é a forma ativa da vitamina E, que tem propriedades antioxidantes.
Considerando-se essas informações associadas aos conhecimentos da Química, é correto concluir:
Provas
I. !$ 6^{14}CO_2(g) + 6H_2O(\ell) !$
!$ ^{14}C_6H_{12}O_6(s)+6O_2(g) !$
II. !$ CH_3COOH(\ell)+H^{18}OCH_3(\ell) !$
!$ CH_3CO^{18}OCH_3(\ell)+H_2O(\ell) !$
Radioisótopos, como o carbono 14, 14C, e o oxigênio 18, 18O, que podem ser detectados por instrumentos que medem o nível de radiação dos elementos químicos, são usados para rastrear o caminho percorrido por átomos desses elementos durante uma transformação química, como na fotossíntese, representada de forma simplificada em I, e na formação do etanoato de metila, em II.
Brown, T. L., Lemay Jr, H E., Bursten, B. E .. Burdge, J. R Química. a ciência central. São Paulo, Pearson Prentice Hall, e. 9. 2005, p. 785 e 803. Adaptado.
Considerando-se a análise dessas informações associadas aos conhecimentos da Química, é correto afirmar:
Provas
As bactérias autotróficas não necessitam de matéria orgânica para se desenvolverem e usam o dióxido de carbono ou carbonatos como fonte de carbono para sintetizar as proteínas, enzimas e outros materiais necessários aos seus processos biológicos. Algumas dessas bactérias, na presença do oxigênio, O2(g), utilizam o sulfeto de ferro(II), FeS(s), como fonte de energia, de acordo com a reação química representada pela equação
4FeS(s)+9O2(g)+10H2O(!$ \ell !$)→ 4Fe(OH)3(s)+4SO2-4(aq)+8H+(aq)+energia
Com base nessas informações associadas aos conhecimentos sobre as estruturas e propriedades das substâncias inorgânicas e da termoquímica, é correto afirmar:
Provas
As chapas de raios X são constituídas por finas partículas de sais de prata aplicadas sobre uma superfície transparente, o acetato, que podem ser reaproveitadas depois da utilização nos exames radiográficos. O tratamento químico para obtenção da prata metálica e a reciclagem do acetato são alternativas que contribuem para evitar o descarte inadequado desses materiais no lixo comum, o que pode contaminar o solo e os lençóis freáticos. As chapas de raios X, que já foram utilizadas em exames, são colocadas em uma cuba plástica e imersas em uma solução de hidróxido de sódio, NaOH(aq), para que os íons prata que recobrem a película de acetato sejam retirados sob a forma de óxido de prata, um pó fino de coloração preta ou marrom, de acordo com a reação química representada de maneira simplificada pela equação iônica
2Ag1(aq)+2OH''(aq) !$ \rightarrow !$ Ag2O(s)+H2O!$ (\ell) !$
O óxido de prata, depois de separado da água, é aquecido até a sua decomposição com formação da prata metálica e liberação do oxigênio. Após a completa remoção dos íons prata, as placas de plástico são lavadas e colocadas em estufa, à baixa temperatura, para secagem.
MOTHEO,Artur. et.al Tratamento químico e reciclagem de chapas de raios X. Disponível em; <http://www.sga.usp.br>. Acesso em: abr. 2019 Adaptado.
Considerando-se as propriedades da prata metálica, utilizada na confecção de joias, moedas e equipamentos eletrônicos, e dos íons prata, constituintes de substâncias químicas presentes em espelhos e lentes fotocromáticas, é correto afirmar:
Provas
As chapas de raios X são constituídas por finas partículas de sais de prata aplicadas sobre uma superfície transparente, o acetato, que podem ser reaproveitadas depois da utilização nos exames radiográficos. O tratamento químico para obtenção da prata metálica e a reciclagem do acetato são alternativas que contribuem para evitar o descarte inadequado desses materiais no lixo comum, o que pode contaminar o solo e os lençóis freáticos. As chapas de raios X, que já foram utilizadas em exames, são colocadas em uma cuba plástica e imersas em uma solução de hidróxido de sódio, NaOH(aq), para que os íons prata que recobrem a película de acetato sejam retirados sob a forma de óxido de prata, um pó fino de coloração preta ou marrom, de acordo com a reação química representada de maneira simplificada pela equação iônica
2Ag1(aq)+2OH''(aq) !$ \rightarrow !$ Ag2O(s)+H2O!$ (\ell) !$
O óxido de prata, depois de separado da água, é aquecido até a sua decomposição com formação da prata metálica e liberação do oxigênio. Após a completa remoção dos íons prata, as placas de plástico são lavadas e colocadas em estufa, à baixa temperatura, para secagem.
MOTHEO,Artur. et.al Tratamento químico e reciclagem de chapas de raios X. Disponível em; <http://www.sga.usp.br>. Acesso em: abr. 2019 Adaptado.
Com relação aos processos físicos e químicos empregados na obtenção da praia metálica e a reciclagem do acetato, é correto afirmar:
Provas
| Órgãos do sistema digestório | Sistemas químicos associados aos órgãos do sistema digestório | pH de uma amostra do sistema químico analisado a 25ºC |
| Boca | saliva | 7.0 |
| Estômago | suco gástrico | 2.0 |
| Pâncreas | suco pancreático | 8.0 |
O equilíbrio e o funcionamento adequado dos diversos sistemas químicos, inclusive dos encontrados no corpo humano, dependem do pH, potencial hidrogeniônico, que serve como parâmetro para medir a acidez do meio. A tabela mostra a relação entre o pH e os sistemas químicos encontrados em alguns dos órgãos do sistema digestório do corpo humano.
Com base nas informações e nos conhecimentos sobre pH, é correto afirmar:
Provas
Vários foram os precursores importantes na discussão sobre a circulação do sangue - entre eles sábios árabes e europeus, como o francês Jacques Dubois, o italiano Girolamo Fabricius de Pádua, o português Amato Lusitano e o espanhol Miguel Servet -, entretanto William Harvey foi o primeiro a descrever, de forma mais precisa e completa, o sistema circulatório, revolucionando a medicina da época. Ele pôde demonstrar a diferença entre a circulação do sangue nas veias e nas artérias por meio de experimentos, descritos e ilustrados no seu livro "Sobre o movimento do coração e do sangue nos animais'', de 1628. [ ... ] Harvey foi o primeiro a descrever, adequadamente, a circulação do sangue por veias e artérias por meio do bombeamento dos movimentos cardíacos de sistole e diástole.
MARCONDES, Danilo. Textos básiccs de filosofia e hislóm., rias ciências. Rio de janeiro. Zahar, 2016. P. 66-8. Adaptado.
Com base nas informações do texto e nos conhecimentos produzidos sobre circulação sanguínea, é correto afirmar:
Provas
Na famosa árvore da vida com "Três domínios" de Carl Woese, arqueas e eucaria são "grupos irmãos", compartilhando um ancestral relativamente recente. Em alguns aspectos, as arqueas e os eucariontes precisam mesmo ter muito em comum, especialmente em termos de fluxo de informações. Em essência, as arqueas têm algumas máquinas moleculares sofisticadas parecidas com as dos eucariontes, embora com menos peças - são as sementes da complexidade eucariótica.
LANE, Nick. Questão Vital: porque a vida é como é? ed.1. Rio de Janeiro· Ed. Rocco, 2017. P.19.Adaptado.
Apesar da proximidade filogenética existente entre os domínios eucaria e arqueas, existem diferenças significativas em relação aos seus padrões de organização.
A partir dessas informações, deve-se considerar como um exemplo na diferenciação destes dois grupos
Provas
Caderno Container