Foram encontradas 1.000 questões.
Para Chiavenato (1999), o treinamento apresenta um processo cíclico e contínuo dividido em
Provas
Questão presente nas seguintes provas
Dentre os medicamentos utilizados para o tratamento antiemético de náuseas e vômitos induzidos pela quimioterapia, qual atua como antagonista dos receptores da neurocinina 1?
Provas
Questão presente nas seguintes provas
Assinale a alternativa correta.
Provas
Questão presente nas seguintes provas
A eritroblastose fetal pode afetar recém-nascidos cujas mães já tenham sido sensibilizadas em gestações anteriores. A seguir estão presentes os fenótipos de cincos casais. Entre eles, qual pode vir a ter um filho com esta doença?
Provas
Questão presente nas seguintes provas
Em um paciente com diagnóstico de infecção pelo HIV (Vírus da Imunodeficiência Humana), a contagem de células T CD4 é solicitada para
Provas
Questão presente nas seguintes provas
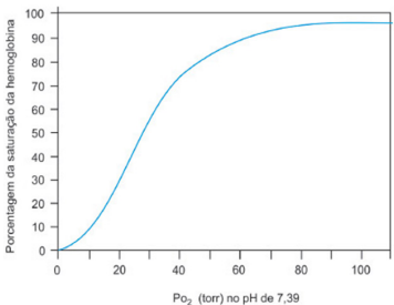
“RN com 29 semanas de gestação, pesando 1420g, evoluiu com desconforto respiratório progressivo nas primeiras horas, necessitando de IOT. Após criteriosa avaliação médica, o RN recebeu o diagnóstico de doença da membrana hialina. Os parâmetros do ventilador neste RN eram: PIP: 28 cmH2O, FiO2 : 78%, PEEP: 6 cmH2O, FR: 40 rpm. Após 2 horas da IOT deste prematuro sua PO2 era de 50 mmHg. No segundo dia sua PCO2 era de 70 mmHg. SO2 90%, PO2 80 mmHg, pH de 7,25, HCO3 de 26.
Analisando a figura a seguir e relacionando com o valor da PO2 , após 2 horas de IOT, assinale a alternativa que indica a porcentagem correta da saturação de hemoglobina deste prematuro.

Provas
Questão presente nas seguintes provas
O método de Fontana Tribondeau é o melhor método para demonstração diagnóstica de Treponema pallidum. Neste método, as espiroquetas são coradas utilizando
Provas
Questão presente nas seguintes provas
É uma dioptria de uma pessoa com astigmatismo misto a favor da regra:
Provas
Questão presente nas seguintes provas
Verifique se as afirmações a seguir estão conceitualmente corretas e se há correspondência com as unidades e assinale a alternativa correta.
Provas
Questão presente nas seguintes provas
Sobre a relação entre a família do paciente e a hospitalização, assinale a alternativa correta.
Provas
Questão presente nas seguintes provas
Cadernos
Caderno Container