Foram encontradas 100 questões.
2269990
Ano: 2011
Disciplina: TI - Redes de Computadores
Banca: DIRENS Aeronáutica
Orgão: EEAr
Disciplina: TI - Redes de Computadores
Banca: DIRENS Aeronáutica
Orgão: EEAr
Provas:
Sob o ponto de vista da maneira com que os dados de uma rede de computadores são compartilhados, quais são os tipos básicos de redes de computadores possíveis?
Provas
Questão presente nas seguintes provas
Considerando a apresentação da janela do editor de texto do BrOffice.org – Writer, sua terminologia e respectivas funções, relacione as colunas e, em seguida, assinale a alternativa que contém a sequência correta.
1 - Barra de Objetos
2 - Barra de Hyperlink
3 - Barra de Funções ou Barra Padrão
4 - Barra Status
5 - Indicadores de limites do texto
( ) Contém os botões de atalho para as funções mais comuns do BrOffice.org Writer.
( ) Fornece informações atuais sobre a situação do documento de texto.
( ) Apresenta comandos para navegar na internet.
( ) Apresenta atalhos para os principais comandos de formatação do objeto selecionado.
( ) Mostra as margens da página.
Provas
Questão presente nas seguintes provas
2269968
Ano: 2011
Disciplina: TI - Desenvolvimento de Sistemas
Banca: DIRENS Aeronáutica
Orgão: EEAr
Disciplina: TI - Desenvolvimento de Sistemas
Banca: DIRENS Aeronáutica
Orgão: EEAr
Provas:
Considerando o uso do PHP para manipulação de números, assinale a assertiva verdadeira.
Provas
Questão presente nas seguintes provas
2269966
Ano: 2011
Disciplina: TI - Desenvolvimento de Sistemas
Banca: DIRENS Aeronáutica
Orgão: EEAr
Disciplina: TI - Desenvolvimento de Sistemas
Banca: DIRENS Aeronáutica
Orgão: EEAr
Provas:
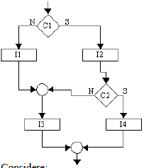
Informe se é falso (F) ou verdadeiro (V) o que se afirma sobre o diagrama de blocos abaixo. A seguir, indique a opção com a sequência correta.

Considere:
C1 e C2 são condições.
I1, I2, I3 e I4 são instruções.
( ) I1 executa se C1 for falsa.
( ) I2 somente executa se C2 for verdadeira.
( ) Se C1 e C2 forem falsas a I3 executa.
( ) I4 sempre executa, independente de C1 e C2.
( ) I2 somente executa se C2 for verdadeira.
( ) Se C1 e C2 forem falsas a I3 executa.
( ) I4 sempre executa, independente de C1 e C2.
Provas
Questão presente nas seguintes provas
Em qual das alternativas o adjetivo em negrito é classificado como composto?
Provas
Questão presente nas seguintes provas
A criança sadia
O interesse da sociedade pelas crianças nem sempre esteve presente. Até o século XVII, a criança era vista como estorvo, desgraça, um fardo insuportável para a família. Os cuidados dispensados ao bebê não eram uma tarefa agradável aos pais. No final do século XVII, no entanto, algumas publicações motivaram novos sentimentos dos pais em relação à criança. Dentre elas, o Emilie, de Rousseau (1762), trazia inúmeras recomendações às mães para que cuidassem pessoalmente dos filhos.
O índice de mortalidade infantil era elevado, especialmente entre as crianças que eram afastadas de seus pais e cuidadas por amas de leite. Outras causas de mortalidade eram a precariedade das condições de higiene e a ausência de especialidade médica direcionada à criança, surgida no século XIX.
Portanto, a mudança de atitude em relação à criança vem acontecendo ao longo de séculos e sofreu grande influência dos momentos históricos — sociais, econômicos, políticos — e contou com grande participação de filósofos e teólogos.
(Ensinando a cuidar da criança. Nébia Maria A. de Figueiredo.
A partir do texto, é permitido concluir-se que, no final do século XVII,
Provas
Questão presente nas seguintes provas
A criança sadia
O interesse da sociedade pelas crianças nem sempre esteve presente. Até o século XVII, a criança era vista como estorvo, desgraça, um fardo insuportável para a família. Os cuidados dispensados ao bebê não eram uma tarefa agradável aos pais. No final do século XVII, no entanto, algumas publicações motivaram novos sentimentos dos pais em relação à criança. Dentre elas, o Emilie, de Rousseau (1762), trazia inúmeras recomendações às mães para que cuidassem pessoalmente dos filhos.
O índice de mortalidade infantil era elevado, especialmente entre as crianças que eram afastadas de seus pais e cuidadas por amas de leite. Outras causas de mortalidade eram a precariedade das condições de higiene e a ausência de especialidade médica direcionada à criança, surgida no século XIX.
Portanto, a mudança de atitude em relação à criança vem acontecendo ao longo de séculos e sofreu grande influência dos momentos históricos — sociais, econômicos, políticos — e contou com grande participação de filósofos e teólogos.
(Ensinando a cuidar da criança. Nébia Maria A. de Figueiredo.
Leia:
Os cuidados dispensados ao bebê não eram uma tarefa agradável aos pais.
O sentido desse período pode assim ser traduzido:
Provas
Questão presente nas seguintes provas
Assinale a alternativa que completa corretamente a lacuna do texto a seguir.
Um usuário deseja converter automaticamente diversos arquivos no formato .xls do Microsoft Office Excel para o formato de documento aberto .ods. Para isso, basta que ele utilize o “Conversor de ”, no Assistente (menu Arquivo), que o BrOffice.org Calc oferece.
Provas
Questão presente nas seguintes provas
2269938
Ano: 2011
Disciplina: TI - Desenvolvimento de Sistemas
Banca: DIRENS Aeronáutica
Orgão: EEAr
Disciplina: TI - Desenvolvimento de Sistemas
Banca: DIRENS Aeronáutica
Orgão: EEAr
Provas:
Assinale a alternativa que completa corretamente a lacuna da assertiva abaixo.
Por meio do , o analista pode representar graficamente a descrição lógica. Nessa descrição, são apresentados todos os procedimentos e operações do sistema proposto, sem, contudo, entrar em detalhes.
Provas
Questão presente nas seguintes provas
Em qual alternativa o substantivo coletivo não foi empregado corretamente?
Provas
Questão presente nas seguintes provas
Cadernos
Caderno Container