Foram encontradas 100 questões.
Disciplina: TI - Sistemas Operacionais
Banca: DIRENS Aeronáutica
Orgão: EEAr
Para navegar entre o s diretórios e para listar seu conteúdo, um analista de sistemas que está operando um computador em uma empresa dispõe, respectivamente, de quais comandos?
Provas
Assinale a alternativa em que a palavra destacada forma-se por derivação imprópria.
Provas
Em qual alternativa destacou-se o complemento nominal?
Provas
Disciplina: TI - Segurança da Informação
Banca: DIRENS Aeronáutica
Orgão: EEAr
O método criptográfico que gera um resultado único, independente do tamanho da informação de entrada, é conhecido como função de resumo. Assinale a alternativa que nomeia o resultado desse método.
Provas
Disciplina: TI - Desenvolvimento de Sistemas
Banca: DIRENS Aeronáutica
Orgão: EEAr
Um relacionamento descreve como as classes interagem entre si. Na UML (Unified Modeling Language), um relacionamento é uma conexão entre dois ou mais elementos da notação. Quais os três tipos de alto nível de relacionamento de objetivo que a UML reconhece?
Provas
Disciplina: TI - Desenvolvimento de Sistemas
Banca: DIRENS Aeronáutica
Orgão: EEAr
Quando o valor do parâmetro não é alterado na manipulação do parâmetro formal na sub-rotina, temos a passagem de parâmetro por
Provas
Observando a concordância, assinale a alternativa que traz a correta disposição dos termos que completam as lacunas do texto abaixo: Novamente, no país, as secretarias de saúde ______ , _____ e o Ministério da Saúde mobilizam-se para a vacinação contra a gripe influenza. Haverá _______________, a fim de que __________ a campanha e o seu resultado.
Provas
Relacione a s colunas quanto à conjugação do verbo ir no indicativo. Em seguida, assinale a alternativa com a sequência correta.
1 – ia ( ) Depois do jogo, ___ a uma boate magnífica. (pretérito perfeito)
2 – foi ( ) Às vezes, o menino ___ sozinho para casa. (pretérito imperfeito)
3 – iria ( ) O mesmo rio ___ despoluído três anos atrás. (pretérito mais que perfeito)
4 – fora ( ) ___ pelo caminho mais difícil? (futuro do pretérito)
Provas
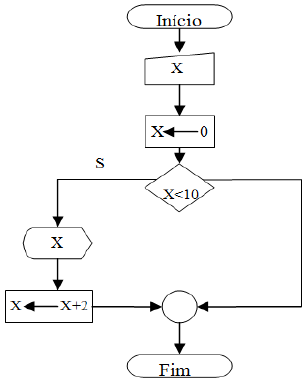
Disciplina: TI - Desenvolvimento de Sistemas
Banca: DIRENS Aeronáutica
Orgão: EEAr
A sargento A.Souza, programadora da seção de informática da EEAR, criou o diagrama da figura abaixo, que representa um algoritmo. O que esse algoritmo faz?

Provas
Em qual alternativa a concordância do verbo em destaque está incorreta?
Provas
Caderno Container