Foram encontradas 58 questões.
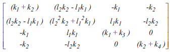
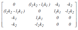
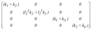
O teste de implementação de um código numérico para a solução de problemas estruturais lineares envolveu a solução
de um conjunto de equações lineares definido por F = KU, onde F é o vetor com as cargas aplicadas à estrutura, K é a
matriz de rigidez da estrutura e U é o vetor dos deslocamentos nodais incógnitos. Durante um dos testes, foi constatado
que a matriz de rigidez K ficou singular, impedindo a solução das equações. Essa condição é devida ao fato de
Provas
Questão presente nas seguintes provas

Provas
Questão presente nas seguintes provas

Provas
Questão presente nas seguintes provas
Sobre uma estrutura com múltiplos graus de liberdade, considere as afirmativas a seguir.
I – As frequências de oscilação da estrutura independem do amortecimento.
II – Se o amortecimento da estrutura for do tipo proporcional, os modos do sistema sem amortecimento desacoplam
completamente suas equações de movimento.
III – Um aumento na rigidez da estrutura diminui os períodos naturais de oscilação.
Está correto o que se afirma em
Provas
Questão presente nas seguintes provas
Dentre as estruturas formadas por elementos de mesmo material, mesma área e comprimentos dependentes da posição
na qual se encontram instalados, a que possui maior rigidez à força F aplicada é a da figura
Provas
Questão presente nas seguintes provas

Provas
Questão presente nas seguintes provas
Sobre as características de estruturas, considere as
afirmativas a seguir.
I – A rigidez de uma estrutura caracteriza sua capacidade
de resistir a deformações devido à imposição
de um determinado carregamento.
II – A resistência de uma estrutura caracteriza sua capacidade
de resistir à imposição de um determinado
carregamento, sem apresentar ruptura, escoamento
ou fadiga em seus elementos componentes.
III – Uma estrutura com elevada rigidez possui também
elevada resistência.
Está correto o que se afirma em
Provas
Questão presente nas seguintes provas

Provas
Questão presente nas seguintes provas

Provas
Questão presente nas seguintes provas

Provas
Questão presente nas seguintes provas
Cadernos
Caderno Container