Magna Concursos

Foram encontradas 184 questões.

370952 Ano: 2011
Disciplina: Português
Banca: ENEM
Orgão: ENEM
Uma luz na evolução
Dois fósseis descobertos na África do Sul, dotados de inusitada combinação de características arcaicas e modernas, podem ser ancestrais diretos do homem
Os últimos quinze dias foram excepcionais para o estudo das origens do homem. No fim de março, uma falange fossilizada encontrada na Sibéria revelou uma espécie inteiramente nova de hominídeo que existia há 50 000 anos. Na semana passada, cientistas da Universidade de Witwatersrand, na África do Sul, anunciaram uma descoberta similar. São duas as ossadas bastante completas ― a de um menino de 12 anos e a de uma mulher de 30 ― encontradas na caverna Malapa, a 40 quilômetros de Johannesburgo. Devido à abundância de fósseis, a região é conhecida como Berço da Humanidade.
Veja. Abr. 2010 (adaptado).
Sabe-se que as funções da linguagem são reconhecidas por meio de recursos utilizados segundo a produção do autor, que, nesse texto, centra seu objetivo
 

Provas

Questão presente nas seguintes provas
370795 Ano: 2011
Disciplina: Sociologia
Banca: ENEM
Orgão: ENEM
“As tendências da moda, literatura, música, cinema, esportes, política, vida familiar refletem a mentalidade de uma época. E os mercados de ações registram, da mesma forma, essa mentalidade prevalecente. Os preços das ações são o melhor indicador do grau de otimismo, da disposição, da psicologia das multidões,” afirma Robert Prechter, em Cultura Popular e o Mercado de Ações (1985).
Época. Ed. 549, 24 nov. 2008.
O texto mostra como as práticas sociais estão relacionadas com os valores predominantes em uma determinada época, em que os fatores influenciadores são ações
 

Provas

Questão presente nas seguintes provas
370652 Ano: 2011
Disciplina: Matemática
Banca: ENEM
Orgão: ENEM
A distância atual entre os centros da Terra e de seu satélite natural (Lua) é de 384 405 km. Essa distância aumenta 4 cm por ano. O centro de gravidade do sistema (ou baricentro), formado pelos dois corpos celestes, está a 1 737 km da superfície da Terra, e essa distância diminui gradativamente. Este centro de gravidade se localizará fora da Terra em 3 bilhões de anos e, com isso, a Lua deixará de ser nosso satélite, tornando-se um planeta.
enunciado 370652-1
Nova Escola. Nov. 2007 (adaptado).
Quantos centímetros por ano, em média, o centro de gravidade do sistema se aproximará da superfície terrestre, até que a Lua se torne um planeta?
 

Provas

Questão presente nas seguintes provas
370551 Ano: 2011
Disciplina: História
Banca: ENEM
Orgão: ENEM

Após as três primeiras décadas, marcadas pelo esforço de garantir a posse da nova terra, a colonização começou a tomar forma. A política da metrópole portuguesa consistirá no incentivo à empresa comercial com base em uns poucos produtos exportáveis em grande escala, assentada na grande propriedade. Essa diretriz deveria atender aos interesses de acumulação de riqueza na metrópole lusa, em mãos dos grandes comerciantes, da Coroa e de seus afilhados

FAUSTO, B. História Concisa do Brasil. São Paulo: EdUSP, 2002 (adaptado).

Para concretizar as aspirações expansionistas e mercantis estabelecidas pela Coroa Portuguesa para a América, a estratégia lusa se constituiu em

 

Provas

Questão presente nas seguintes provas
370420 Ano: 2011
Disciplina: Biologia
Banca: ENEM
Orgão: ENEM
Desde que o homem começou a explorar os recursos do planeta, vem provocando impactos sobre o meio ambiente. A ilustração mostra, de forma bem-humorada, uma consequência desses impactos.
enunciado 370420-1
Disponível em: http://dukechargista.com.br. Acesso em: 27 jul. 2010.
Em relação ao impacto sugerido pela figura, trata-se de uma consequência direta de ações do homem, que mostram sua
 

Provas

Questão presente nas seguintes provas
367540 Ano: 2011
Disciplina: Biologia
Banca: ENEM
Orgão: ENEM
Escargot é um caramujo comestível, especialmente utilizado na culinária francesa. No Brasil, na década de 1980, empresários brasileiros trouxeram uma espécie de caramujo africano, visando produzi-lo e vendê-lo como escargot. Porém, esses caramujos mostraram-se inúteis para a culinária e foram liberados no ambiente. Atualmente, esse caramujo africano representa um sério problema ambiental em diversos estados brasileiros.
Caramujos africanos invadem casas em Ribeirão Preto. Disponível em: http://g1.globo.com. Acesso em: 13 ago. 2008 (adaptado).
Além do clima favorável, que outro fator contribui para a explosão populacional do caramujo africano no Brasil?
 

Provas

Questão presente nas seguintes provas
361230 Ano: 2011
Disciplina: Português
Banca: ENEM
Orgão: ENEM
Já reparei uma coisa: bola de futebol, seja nova, seja velha, é um ser muito compreensivo, que dança conforme a música: se está no Maracanã, numa decisão de título, ela rola e quiçá com um ar dramático, mantendo sempre a mesma pose adulta, esteja nos pés de Gérson ou nas mãos de um gandula. Em compensação, num racha de menino, ninguém é mais sapeca: ela corre para cá, corre para lá, quiçá no meio-fio, para de estalo no canteiro, lambe a canela de um, deixa-se espremer entre mil canelas, depois escapa, rolando, doida, pela calçada. Parece um bichinho.
NOGUEIRA, A. Peladas. Os melhores da crônica brasileira. Rio de Janeiro: José Olympio, 1977 (fragmento).
O texto expressa a visão do cronista sobre a bola de futebol. Entre as estratégias escolhidas para dar colorido a sua expressão, identifica-se, predominantemente, uma função da linguagem caracterizada pela intenção do autor em
 

Provas

Questão presente nas seguintes provas
354380 Ano: 2011
Disciplina: História
Banca: ENEM
Orgão: ENEM
Os principais distúrbios começaram em Nottingham, em 1811. Uma grande manifestação de malharistas, gritando por trabalho e por um preço mais liberal, foi dissolvida pelo exército. Naquela noite, sessenta armações de malha foram destruídas na grande vila de Arnold por amotinados que não tomaram nenhuma precaução em se disfarçar e foram aplaudidos pela multidão.
THOMPSON, E.P. A formação da classe operária inglesa. Rio de Janeiro: Paz e Terra, 1987 (fragmento).
Esse texto diz respeito à nova realidade socioeconômica da Inglaterra implantada a partir da Revolução Industrial. A principal consequência para os trabalhadores nas primeiras décadas do século XIX se manifestou por meio
 

Provas

Questão presente nas seguintes provas
354365 Ano: 2011
Disciplina: Biologia
Banca: ENEM
Orgão: ENEM
enunciado 354365-1
HARRIS, S. A Ciência ri. São Paulo: Unesp, 2007.
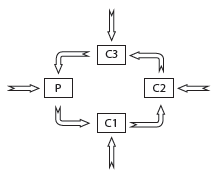
A charge ilustra a transferência de matéria numa cadeia alimentar.
Considerando as setas indicativas de entrada e saída de energia nos níveis tróficos, o esquema que representa esse fluxo é
Legenda: P produtores; C1 consumidor primário; C2 consumidor secundário e C3 consumidor terciário.
 

Provas

Questão presente nas seguintes provas
354352 Ano: 2011
Disciplina: Biologia
Banca: ENEM
Orgão: ENEM

Com a utilização dos biocombustíveis, grandes áreas estão sendo ocupadas com a cultura da cana-de-açúcar, o que acarreta o desgaste do solo. Para contrabalançar esse desgaste, tem-se iniciado o plantio alternado de cana-de-açúcar com algumas espécies de leguminosas, já que essa rotação dispensa a adubação nitrogenada.

Disponível em: http://www.agencia.cnptia.embrapa.br. Acesso em: 16 jun. 2011(adaptado).

Essa prática agrícola ocasiona o enriquecimento do solo, porque as leguminosas possuem bactérias em associação com suas raízes, que favorecem o processo de

 

Provas

Questão presente nas seguintes provas