Magna Concursos

Foram encontradas 185 questões.

866078 Ano: 2012
Disciplina: Física
Banca: ENEM
Orgão: ENEM
Provas:
Os freios ABS são uma importante medida de segurança no trânsito, os quais funcionam para impedir o travamento das rodas do carro quando o sistema de freios é acionado, liberando as rodas quando estão no limiar do deslizamento. Quando as rodas travam, a força de frenagem é governada pelo atrito cinético.
As representações esquemáticas da força de atrito fat entre os pneus e a pista, em função da pressão p aplicada no pedal de freio, para carros sem ABS e com ABS, respectivamente, são:
 

Provas

Questão presente nas seguintes provas
863718 Ano: 2012
Disciplina: História
Banca: ENEM
Orgão: ENEM
Provas:
enunciado 863718-1
Cartaz da Revolução Constitucionalista.
Disponível em: http://veja.abril.com.br. Acesso em: 29 jun. 2012.
Elaborado pelos partidários da Revolução Constitucionalista de 1932, o cartaz apresentado pretendia mobilizar a população paulista contra o governo federal. Essa mobilização utilizou-se de uma referência histórica, associando o processo revolucionário
 

Provas

Questão presente nas seguintes provas
861490 Ano: 2012
Disciplina: Física
Banca: ENEM
Orgão: ENEM
Provas:
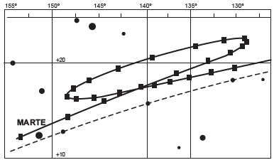
A característica que permite identificar um planeta no céu é o seu movimento relativo às estrelas fixas. Se observarmos a posição de um planeta por vários dias, verificaremos que sua posição em relação às estrelas fixas se modifica regularmente. A figura destaca o movimento de Marte observado em intervalos de 10 dias, registrado da Terra.
enunciado 861490-1
Projecto Física. Lisboa: Fundação Calouste Gulbenkian, 1980 (adaptado).
Qual a causa da forma da trajetória do planeta Marte registrada na figura?
 

Provas

Questão presente nas seguintes provas
861010 Ano: 2012
Disciplina: Química
Banca: ENEM
Orgão: ENEM
Provas:
A produção mundial de alimentos poderia se reduzir a 40% da atual sem a aplicação de controle sobre as pragas agrícolas. Por outro lado, o uso frequente dos agrotóxicos pode causar contaminação em solos, águas superficiais e subterrâneas, atmosfera e alimentos. Os biopesticidas, tais como a piretrina e a coronopilina, têm sido uma alternativa na diminuição dos prejuízos econômicos, sociais e ambientais gerados pelos agrotóxicos.
enunciado 861010-1
Identifique as funções orgânicas presentes simultaneamente nas estruturas dos dois biopesticidas apresentados:
 

Provas

Questão presente nas seguintes provas
856979 Ano: 2012
Disciplina: História
Banca: ENEM
Orgão: ENEM
Provas:
enunciado 856979-1
Disponível em: www.metmuseum.org. Acesso em: 14 set. 2011.
A figura apresentada é de um mosaico, produzido por volta do ano 300 d.C., encontrado na cidade de Lod, atual Estado de Israel. Nela, encontram-se elementos que representam uma característica política dos romanos no período, indicada em:
 

Provas

Questão presente nas seguintes provas
854989 Ano: 2012
Disciplina: Português
Banca: ENEM
Orgão: ENEM
Provas:
O senhor
Carta a uma jovem que, estando em uma roda em que dava aos presentes o tratamento de você, se dirigiu ao autor chamando-o “o senhor”:
Senhora:
Aquele a quem chamastes senhor aqui está, de peito magoado e cara triste, para vos dizer que senhor ele não é, de nada, nem de ninguém.
Bem o sabeis, por certo, que a única nobreza do plebeu está em não querer esconder sua condição, e esta nobreza tenho eu. Assim, se entre tantos senhores ricos e nobres a quem chamáveis você escolhestes a mim para tratar de senhor, é bem de ver que só poderíeis ter encontrado essa senhoria nas rugas de minha testa e na prata de meus cabelos. Senhor de muitos anos, eis aí; o território onde eu mando é no país do tempo que foi. Essa palavra “senhor”, no meio de uma frase, ergueu entre nós um muro frio e triste.
Vi o muro e calei: não é de muito, eu juro, que me acontece essa tristeza; mas também não era a vez primeira.
BRAGA, R. A borboleta amarela. Rio de Janeiro: Record, 1991.
A escolha do tratamento que se queira atribuir a alguém geralmente considera as situações específicas de uso social. A violação desse princípio causou um mal-estar no autor da carta. O trecho que descreve essa violação é:
 

Provas

Questão presente nas seguintes provas
851647 Ano: 2012
Disciplina: Biologia
Banca: ENEM
Orgão: ENEM
Provas:
Os vegetais biossintetizam determinadas substâncias (por exemplo, alcaloides e flavonoides), cuja estrutura química e concentração variam num mesmo organismo em diferentes épocas do ano e estágios de desenvolvimento. Muitas dessas substâncias são produzidas para a adaptação do organismo às variações ambientais (radiação UV, temperatura, parasitas, herbívoros, estímulo a polinizadores etc.) ou fisiológicas (crescimento, envelhecimento etc.).
As variações qualitativa e quantitativa na produção dessas substâncias durante um ano são possíveis porque o material genético do indivíduo
 

Provas

Questão presente nas seguintes provas
850157 Ano: 2012
Disciplina: Matemática
Banca: ENEM
Orgão: ENEM
Provas:
Em um jogo há duas urnas com 10 bolas de mesmo tamanho em cada urna. A tabela a seguir indica as quantidades de bolas de cada cor em cada urna.
Cor Urna 1 Urna 2
Amarela 4 0
Azul 3 1
Branca 2 2
Verde 1 3
Vermelha 0 4
Uma jogada consiste em:
1º) o jogador apresenta um palpite sobre a cor da bola que será retirada por ele da urna 2;
2º) ele retira, aleatoriamente, uma bola da urna 1 e a coloca na urna 2, misturando-a com as que lá estão;
3º) em seguida ele retira, também aleatoriamente, uma bola da urna 2;
4º) se a cor da última bola retirada for a mesma do palpite inicial, ele ganha o jogo.
Qual cor deve ser escolhida pelo jogador para que ele= tenha a maior probabilidade de ganhar?
 

Provas

Questão presente nas seguintes provas
848246 Ano: 2012
Disciplina: Matemática
Banca: ENEM
Orgão: ENEM
Provas:
A Agência Espacial Norte Americana (NASA) informou que o asteroide YU 55 cruzou o espaço entre a Terra e a Lua no mês de novembro de 2011. A ilustração a seguir sugere que o asteroide percorreu sua trajetória no mesmo plano que contém a órbita descrita pela Lua em torno da Terra. Na figura, está indicada a proximidade do asteroide em relação à Terra, ou seja, a menor distância que ele passou da superfície terrestre.
enunciado 848246-1
Disponível em: http://noticias.terra.com.br (adaptado).
Com base nessas informações, a menor distância que o asteroide YU 55 passou da superfície da Terra é igual a
 

Provas

Questão presente nas seguintes provas
847232 Ano: 2012
Disciplina: Sociologia
Banca: ENEM
Orgão: ENEM
Provas:
Texto I
O que vemos no país é uma espécie de espraiamento e a manifestação da agressividade através da violência. Isso se desdobra de maneira evidente na criminalidade, que está presente em todos os redutos — seja nas áreas abandonadas pelo poder público, seja na política ou no futebol. O brasileiro não é mais violento do que outros povos, mas a fragilidade do exercício e do reconhecimento da cidadania e a ausência do Estado em vários territórios do país se impõem como um caldo de cultura no qual a agressividade e a violência fincam suas raízes.
Entrevista com Joel Birman. A Corrupção é um crime sem rosto. IstoÉ. Edição 2099, 3 fev. 2010.
Texto II
Nenhuma sociedade pode sobreviver sem canalizar as pulsões e emoções do indivíduo, sem um controle muito específico de seu comportamento. Nenhum controle desse tipo é possível sem que as pessoas anteponham limitações umas às outras, e todas as limitações são convertidas, na pessoa a quem são impostas, em medo de um ou outro tipo.
ELIAS, N. O Processo Civilizador. Rio de Janeiro: Jorge Zahar, 1993.
Considerando-se a dinâmica do processo civilizador, tal como descrito no Texto II, o argumento do Texto I acerca da violência e agressividade na sociedade brasileira expressa a
 

Provas

Questão presente nas seguintes provas