Foram encontradas 185 questões.
Química Verde pode ser definida como a criação, o desenvolvimento e a aplicação de produtos e processos químicos para reduzir ou eliminar o uso e a geração de substâncias nocivas à saúde humana e ao ambiente. Sabe-se que algumas fontes energéticas desenvolvidas pelo homem exercem, ou têm potencial para exercer, em algum nível, impactos ambientais negativos.
CORRÊA, A. G.; ZUIN, V. G. (Orgs.). Química Verde: fundamentos e aplicações. São Carlos: EdUFSCar, 2009.
À luz da Química Verde, métodos devem ser desenvolvidos para eliminar ou reduzir a poluição do ar causada especialmente pelas
Provas
Questão presente nas seguintes provas
TEXTO I
Há já algum tempo eu me apercebi de que, desde meus primeiros anos, recebera muitas falsas opiniões como verdadeiras, e de que aquilo que depois eu fundei em princípios tão mal assegurados não podia ser senão mui duvidoso e incerto. Era necessário tentar seriamente, uma vez em minha vida, desfazer-me de todas as opiniões a que até então dera crédito, e começar tudo novamente a fim de estabelecer um saber firme e inabalável.
DESCARTES, R. Meditações concernentes à Primeira Filosofia. São Paulo: Abril Cultural, 1973 (adaptado).
TEXTO II
É o caráter radical do que se procura que exige a radicalização do próprio processo de busca. Se todo o espaço for ocupado pela dúvida, qualquer certeza que aparecer a partir daí terá sido de alguma forma gerada pela própria dúvida, e não será seguramente nenhuma daquelas que foram anteriormente varridas por essa mesma dúvida.
SILVA, F. L. Descartes: a metafísica da modernidade. São Paulo: Moderna, 2001 (adaptado).
A exposição e a análise do projeto cartesiano indicam que, para viabilizar a reconstrução radical do conhecimento, deve-se
Provas
Questão presente nas seguintes provas
A temperatura !$ T !$ de um forno (em graus centígrados) é reduzida por um sistema a partir do instante de seu desligamento !$ (t = 0) !$ e varia de acordo com a expressão !$ T(t)=-{ \large{t^2 \over 4}} + 400 !$, com !$ t !$ em minutos. Por motivos de segurança, a trava do forno só é liberada para abertura quando o forno atinge a temperatura de 39 ºC.
Qual o tempo mínimo de espera, em minutos, após se desligar o forno, para que a porta possa ser aberta?
Provas
Questão presente nas seguintes provas
O chuveiro elétrico é um dispositivo capaz de transformar energia elétrica em energia térmica, o que possibilita a elevação da temperatura da água. Um chuveiro projetado para funcionar em 110 V pode ser adaptado para funcionar em 220 V, de modo a manter inalterada sua potência.
Uma das maneiras de fazer essa adaptação é trocar a resistência do chuveiro por outra, de mesmo material e com o(a)
Provas
Questão presente nas seguintes provas

PEDERNEIRAS, R. Revista da Semana, ano 35, n. 40, 15 set. 1934. In: LEMOS, R. (Org.).
Uma história do Brasil através das caricaturas (1840-2001).
Rio de Janeiro: Bom Texto; Letras e Expressões, 2001.
Na imagem, da década de 1930, há uma crítica à conquista de um direito pelas mulheres, relacionado com a
Provas
Questão presente nas seguintes provas
Eu também podia decompor a água, se fosse salgada ou acidulada, usando a pilha de Daniell como fonte de força. Lembro o prazer extraordinário que sentia ao decompor um pouco de água em uma taça para ovos quentes, vendo-a separar-se em seus elementos, o oxigênio em um eletrodo, o hidrogênio no outro. A eletricidade de uma pilha de 1 volt parecia tão fraca, e no entanto podia ser suficiente para desfazer um composto químico, a água...
SACKS, O. Tio Tungstênio: memórias de uma infância química. São Paulo: Cia. das Letras, 2002.
O fragmento do romance de Oliver Sacks relata a separação dos elementos que compõem a água. O princípio do método apresentado é utilizado industrialmente na
Provas
Questão presente nas seguintes provas
Steve Jobs: A Life Remembered 1955-2011
Readersdigest.ca takes a look back at Steve Jobs, and his contribution to our digital world.
CEO. Tech-Guru. Artist. There are few corporate figures as famous and well-regarded as former-Apple CEO Steve Jobs. His list of achievements is staggering, and his contribution to modern technology, digital media, and indeed the world as a whole, cannot be downplayed.
With his passing on October 5, 2011, readersdigest.ca looks back at some of his greatest achievements, and pays our respects to a digital pioneer who helped pave the way for a generation of technology, and possibilities, few could have imagined.
Disponível em: www.readersdigest.ca. Acesso em: 25 fev. 2012.
Informações sobre pessoas famosas são recorrentes na mídia, divulgadas de forma impressa ou virtualmente. Em relação a Steve Jobs, esse texto propõe
Provas
Questão presente nas seguintes provas
Tudo no mundo começou com um sim. Uma molécula disse sim a outra molécula e nasceu a vida. Mas antes da pré-história havia a pré-história da pré-história e havia o nunca e havia o sim. Sempre houve. Não sei o quê, mas sei que o universo jamais começou.
[...]
Enquanto eu tiver perguntas e não houver resposta continuarei a escrever. Como começar pelo início, se as coisas acontecem antes de acontecer? Se antes da prépré- história já havia os monstros apocalípticos? Se esta história não existe, passará a existir. Pensar é um ato. Sentir é um fato. Os dois juntos — sou eu que escrevo o que estou escrevendo. [...] Felicidade? Nunca vi palavra mais doida, inventada pelas nordestinas que andam por aí aos montes.
Como eu irei dizer agora, esta história será o resultado de uma visão gradual — há dois anos e meio venho aos poucos descobrindo os porquês. É visão da iminência de. De quê? Quem sabe se mais tarde saberei. Como que estou escrevendo na hora mesma em que sou lido. Só não inicio pelo fim que justificaria o começo — como a morte parece dizer sobre a vida — porque preciso registrar os fatos antecedentes.
LISPECTOR, C. A hora da estrela. Rio de Janeiro: Rocco, 1998 (fragmento).
A elaboração de uma voz narrativa peculiar acompanha a trajetória literária de Clarice Lispector, culminada com a obra A hora da estrela, de 1977, ano da morte da escritora. Nesse fragmento, nota-se essa peculiaridade porque o narrador
Provas
Questão presente nas seguintes provas
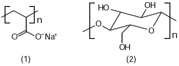
As fraldas descartáveis que contêm o polímero poliacrilato de sódio (1) são mais eficientes na retenção de água que as fraldas de pano convencionais, constituídas de fibras de celulose (2).

CURI, D. Química Nova na Escola, São Paulo, n. 23, maio 2006 (adaptado).
A maior eficiência dessas fraldas descartáveis, em relação às de pano, deve-se às
Provas
Questão presente nas seguintes provas
Uma torneira não foi fechada corretamente e ficou pingando, da meia-noite às seis horas da manhã, com a frequência de uma gota a cada três segundos. Sabe-se que cada gota d’agua tem volume de 0,2 mL.
Qual foi o valor mais aproximado do total de água desperdiçada nesse período, em litros?
Provas
Questão presente nas seguintes provas
Cadernos
Caderno Container