Foram encontradas 370 questões.
No início de maio de 2014, a instalação da plataforma petrolífera de perfuração HYSY-981 nas águas contestadas do Mar da China Meridional suscitou especulações sobre as motivações chinesas. Na avaliação de diversos observadores ocidentais, Pequim pretendeu, com esse gesto, demonstrar que pode impor seu controle e dissuadir outros países de seguir com suas reivindicações de direito de exploração dessas águas, como é o caso do Vietnã e das Filipinas.
KLARE, M.T. A guerra pelo petróleo se joga no mar. Le Monde Diplomatique Brasil, abr. 2015.
A ação da China em relação à situação descrita no texto evidencia um conflito que tem como foco o(a)
Provas
Questão presente nas seguintes provas
Chamamos de lixo a grande diversidade de resíduos sólidos de diferentes procedências, como os gerados em residências. O aumento na produção de resíduos sólidos leva à necessidade de se pensar em maneiras adequadas de tratamento. No Brasil, 76% do lixo é disposto em lixões e somente 24% tem como destino um tratamento adequado, considerando os aterros sanitários, as usinas de compostagem ou a incineração.
FADINI, P. S.; FADINI, A. A. A. Lixo: desafios e compromissos.
Química Nova na Escola, maio 2001 (adaptado).
Comparando os tratamentos descritos, as usinas de compostagem apresentam como vantagem serem o destino
Provas
Questão presente nas seguintes provas

Disponível em: http://bruketa-zinic.com. Acesso em: 3 ago. 2012.
A campanha desse pôster, direcionada aos croatas, tem como propósito
Provas
Questão presente nas seguintes provas
- Química InorgânicaSubstância e mistura: substância simples, substância composta e mistura. Alotropia
Primeiro, em relação àquilo a que chamamos água, quando congela, parece-nos estar a olhar para algo que se tornou pedra ou terra, mas quando derrete e se dispersa, esta torna-se bafo e ar; o ar, quando é queimado, torna-se fogo; e, inversamente, o fogo, quando se contrai e se extingue, regressa à forma do ar; o ar, novamente concentrado e contraído, torna-se nuvem e nevoeiro, mas, a partir destes estados, se for ainda mais comprimido, torna-se água corrente, e de água torna-se novamente terra e pedras; e deste modo, como nos parece, dão geração uns aos outros de forma cíclica.
PLATÃO. Timeu-Crítias. Coimbra: CECH, 2011
Do ponto de vista da ciência moderna, os “quatro elementos” descritos por Platão correspondem, na verdade, às fases sólida, líquida, gasosa e plasma da matéria. As transições entre elas são hoje entendidas como consequências macroscópicas de transformações sofridas pela matéria em escala microscópica.
Excetuando-se a fase de plasma, essas transformações sofridas pela matéria, em nível microscópico, estão associadas a uma
Provas
Questão presente nas seguintes provas
Um experimento para comprovar a natureza ondulatória da radiação de micro-ondas foi realizado da seguinte forma: anotou-se a frequência de operação de um forno de micro-ondas e, em seguida, retirou-se sua plataforma giratória. No seu lugar, colocou-se uma travessa refratária com uma camada grossa de manteiga. Depois disso, o forno foi ligado por alguns segundos. Ao se retirar a travessa refratária do forno, observou-se que havia três pontos de manteiga derretida alinhados sobre toda a travessa. Parte da onda estacionária gerada no interior do forno é ilustrada na figura.
De acordo com a figura, que posições correspondem a dois pontos consecutivos da manteiga derretida?
Provas
Questão presente nas seguintes provas
A obra de Túlio Piva poderia ser objeto de estudo nos bancos escolares, ao lado de Noel, Ataulfo e Lupicínio. Se o criador optou por permanecer em sua querência — Santiago, e depois Porto Alegre, a obra alçou voos mais altos, com passagens na Rússia, Estados Unidos e Venezuela. Tem que ter mulata, seu samba maior, é coisa de craque. Um retrato feito de ritmo e poesia, uma ode ao gênero que amou desde sempre. E o paradoxo: misto de gaúcho e italiano, nascido na fronteira com a Argentina, falando de samba, morro e mulata, com categoria. E que categoria! Uma batida de violão que fez história. O tango transmudado em samba.
RAMIREZ, H.; PIVA, R. (Org.). Túlio Piva: pra ser samba brasileiro. Porto Alegre: Programa Petrobras Cultural, 2005 (adaptado)
O texto é um trecho da crítica musical sobre a obra de Túlio Piva. Para enfatizar a qualidade do artista, usou-se como recurso argumentativo o(a)
Provas
Questão presente nas seguintes provas
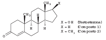
A lipofilia é um dos fatores fundamentais para o planejamento de um fármaco. Ela mede o grau de afinidade que a substância tem com ambientes apolares, podendo ser avaliada por seu coeficiente de partição.
NOGUEIRA, L. J; MONTANARI, C.A; DONNICI C.L. H de Hansch. Revista Virtual de Química, n. 3, 2009 (adaptado).
Em relação ao coeficiente de partição da testosterona, as lipofilias dos compostos 1 e 2 são, respectivamente,
Provas
Questão presente nas seguintes provas

Os moradores de Andalsnes, na Noruega, poderiam se dar ao luxo de morar perto do trabalho nos dias úteis e de se refugiar na calmaria do bosque aos fins de semana. E sem sair da mesma casa. Bastaria achar uma vaga para estacionar o imóvel antes de curtir o novo endereço.
Disponível em: http://casavogue.globo.com. Acesso em: 3 out. 2015 (adaptado).
Uma vez implementada, essa proposta afetaria a dinâmica do espaço urbano por reduzir a intensidade do seguinte processo:
Provas
Questão presente nas seguintes provas
Vários métodos são empregados para prevenção de infecções por microrganismos. Dois desses métodos utilizam microrganismos vivos e são eles: as vacinas atenuadas, constituídas por patógenos avirulentos, e os probióticos que contêm bactérias benéficas. Na figura são apresentados cinco diferentes mecanismos de exclusão de patógenos pela ação dos probióticos no intestino de um animal.

McALLISTER, T. A. et al. Review: The use of direct fed microbials to mitigate pathogens and enhance production in cattle. Can. J. Anim. Sci., jan. 2011 (adaptado).
Qual mecanismo de ação desses probióticos promove um efeito similar ao da vacina?
Provas
Questão presente nas seguintes provas
Uma lâmpada LED (diodo emissor de luz), que funciona com 12 V e corrente contínua de 0,45 A, produz a mesma quantidade de luz que uma lâmpada incandescente de 60 W de potência.
Qual é o valor da redução da potência consumida ao se substituir a lâmpada incandescente pela de LED?
Provas
Questão presente nas seguintes provas
Cadernos
Caderno Container