Foram encontradas 185 questões.
Um cientista, em seus estudos para modelar a pressão arterial de uma pessoa, utiliza uma função do tipo !$ P(t)=A+B\cos(kt) !$ em que A, B e K são constantes reais positivas e t representa a variável tempo, medida em segundo. Considere que um batimento cardíaco representa o intervalo de tempo entre duas sucessivas pressões máximas.
Ao analisar um caso específico, o cientista obteve os dados:
| Pressão mínima | 78 |
| Pressão máxima | 120 |
| Número de batimentos cardíacos por minuto | 90 |
A função !$ P(t) !$ obtida, por este cientista, ao analisar o caso específico foi
Provas
Questão presente nas seguintes provas
O biodiesel é um biocombustível obtido a partir de fontes renováveis, que surgiu como alternativa ao uso do diesel de petróleo para motores de combustão interna. Ele pode ser obtido pela reação entre triglicerídeos, presentes em óleos vegetais e gorduras animais, entre outros, e álcoois de baixa massa molar, como o metanol ou etanol, na presença de um catalisador, de acordo com a equação química:

A função química presente no produto que representa o biodiesel é
Provas
Questão presente nas seguintes provas
A configuração do espaço urbano da região do Entorno do Distrito Federal assemelha-se às demais aglomerações urbanas e regiões metropolitanas do país, onde é facilmente identificável a constituição de um centro dinâmico e desenvolvido, onde se concentram as oportunidades de trabalho e os principais serviços, e a constituição de uma região periférica concentradora de população de baixa renda, com acesso restrito às principais atividades com capacidade de acumulação e produtividade, e aos serviços sociais e infraestrutura básica.
CAIADO, M. C. A migração intrametropolitana e o processo de estruturação do espaço urbano da Região Integrada de Desenvolvimento do Distrito Federal e Entorno. In: HOGAN, D. J. et al. (Org.). Migração e ambiente nas aglomerações urbanas. Campinas: Nepo/Unicamp, 2002.
A organização interna do aglomerado urbano descrito é resultado da ocorrência do processo de
Provas
Questão presente nas seguintes provas
A moralidade, Bentham exortava, não é uma questão de agradar a Deus, muito menos de fidelidade a regras abstratas. A moralidade é a tentativa de criar a maior quantidade de felicidade possível neste mundo. Ao decidir o que fazer, deveríamos, portanto, perguntar qual curso de conduta promoveria a maior quantidade de felicidade para todos aqueles que serão afetados.
RACHELS, J. Os elementos da filosofia moral. Barueri-SP: Manole, 2006.
Os parâmetros da ação indicados no texto estão em conformidade com uma
Provas
Questão presente nas seguintes provas
Para demonstrar o processo de transformação de energia mecânica em elétrica, um estudante constrói um pequeno gerador utilizando:
- um fio de cobre de diâmetro D enrolado em N espiras circulares de área A;
- dois ímâs que criam no espaço entre eles um campo magnético uniforme de intensidade B; e
- um sistema de engrenagens que lhe permite girar as espiras em torno de um eixo com uma frequência f.
Ao fazer o gerador funcionar, o estudante obteve uma tensão máxima V e uma corrente de curto-circuito i.
Para dobrar o valor da tensão máxima V do gerador mantendo constante o valor da corrente de curto i, o estudante deve dobrar o(a)
Provas
Questão presente nas seguintes provas
Uma grande virada na moderna história da agricultura ocorreu depois da Segunda Guerra Mundial. Após a guerra, os governos haviam se deparado com um enorme excedente de nitrato de amônio, ingrediente usado na fabricação de explosivos. A partir daí as fábricas de munição foram adaptadas para começar a produzir fertilizantes tendo como componente principal os nitratos.
SOUZA, F. A. Agricultura natural/orgânica como instrumento de fixação biológica e manutenção do nitrogênio no solo: um modelo sustentável de MDL. Disponível em: www.planetaorganico.com.br. Acesso em: 17 jul. 2015 (adaptado).
No ciclo natural do nitrogênio, o equivalente ao principal componente desses fertilizantes industriais é produzido na etapa de
Provas
Questão presente nas seguintes provas
A participação da mulher no processo de decisão política ainda é extremamente limitada em praticamente todos os países, independentemente do regime econômico e social e da estrutura institucional vigente em cada um deles. É fato público e notório, além de empiricamente comprovado, que as mulheres estão em geral sub-representadas nos órgãos do poder, pois a proporção não corresponde jamais ao peso relativo dessa parte da população.
TABAK,F. Mulheres públicas: participação política e poder. Rio de Janeiro: Letra Capital, 2002.
No âmbito do Poder Legislativo brasileiro, a tentativa de reverter esse quadro de sub-representação tem envolvido a implementação, pelo Estado, de
Provas
Questão presente nas seguintes provas
O farrista
Quando o almirante Cabral
Pôs as patas no Brasil
O anjo da guarda dos índios
Estava passeando em Paris.
Quando ele voltou de viagem
O holandês já está aqui.
O anjo respira alegre:
“Não faz mal, isto é boa gente,
Vou arejar outra vez.”
O anjo transpôs a barra,
Diz adeus a Pernambuco,
Faz barulho, vuco-vuco,
Tal e qual o zepelim
Mas deu um vento no anjo,
Ele perdeu a memória...
E não voltou nunca mais.
MENDES, M. História do Brasil. Rio de Janeiro: Nova Fronteira, 1992.
A obra de Murilo Mendes situa-se na fase inicial do Modernismo, cujas propostas estéticas transparecem, no poema, por um eu lírico que
Provas
Questão presente nas seguintes provas
Fala-se muito nos dias de hoje em direitos do homem. Pois bem: foi no século XVIII — em 1789, precisamente — que uma Assembleia Constituinte produziu e proclamou em Paris a Declaração dos Direitos do Homem e do Cidadão. Essa Declaração se impôs como necessária para um grupo de revolucionários, por ter sido preparada por uma mudança no plano das ideias e das mentalidades: o Iluminismo.
FORTES, L. R. S. O iluminismo e os reis filósofos. São Paulo: Brasiliense, 1981 (adaptado).
Correlacionando temporalidades históricas, o texto apresenta uma concepção de pensamento que tem como uma de suas bases a
Provas
Questão presente nas seguintes provas
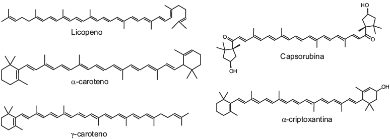
A cromatografia em papel é um método de separação que se baseia na migração diferencial dos componentes de uma mistura entre duas fases imiscíveis. Os componentes da amostra são separados entre a fase estacionária e a fase móvel em movimento no papel. A fase estacionária consiste de celulose praticamente pura, que pode absorver até 22% de água. É a água absorvida que funciona como fase estacionária líquida e que interage com a fase móvel, também líquida (partição líquido-líquido). Os componentes capazes de formar interações intermoleculares mais fortes com a fase estacionária migram mais lentamente.
Uma mistura de hexano com 5% (v/v) de acetona foi utilizada como faze móvel na separação dos componentes de um extrato vegetal obtido a partir de pimentões. Considere que esse extrato contém as substâncias representadas.

RIBEIRO, N.M.; NUNES,C.R. Análise de pigmentos por cromatografia em papel. Química Nova na Escola, n. 29, ago. 2008 (adaptado).
A substância presente na mistura que migra mais lentamente é o(a)
Provas
Questão presente nas seguintes provas
Cadernos
Caderno Container