Magna Concursos

Foram encontradas 184 questões.

1318163 Ano: 2018
Disciplina: Química
Banca: ENEM
Orgão: ENEM
Provas:
Tensoativos são compostos orgânicos que possuem comportamento anfifílico, isto é, possuem duas regiões, uma hidrofóbica e outra hidrofílica. o principal tensoativo aniônico sintético surgiu na década de 1940 e teve grande aceitação no mercado de detergentes em razão do melhor desempenho comparado ao do sabão. No entanto, o uso desse produto provocou grandes problemas ambientais, dentre eles a resistência à degradação biológica, por causa dos diversos carbonos terciários na cadeia que compõe a porção hidrofóbica desse tensoativo aniônico. As ramificações na cadeia dificultam sua degradação, levando à persistência no meio ambiente por longos períodos. isso levou a sua substituição na maioria dos países por tensoativos biodegradáveis, ou seja, com cadeias alquílicas lineares.
PENTEADO,J.C.P.; EL SEOUD, O.A.; CARVALHO,L.R.F.[...]: uma abordagem ambiental e analítica. Química Nova, n.5,2006 (adaptado).
Qual a fórmula estrutural do tensoativo persistente no ambiente mencionado no texto?
 

Provas

Questão presente nas seguintes provas
1315999 Ano: 2018
Disciplina: Literatura Brasileira e Estrangeira
Banca: ENEM
Orgão: ENEM
Provas:
Somente uns tufos secos de capim empedrados crescem na silenciosa baixada que se perde de vista. Somente uma árvore, grande e esgalhada mas com pouquíssimas folhas, abre-se em farrapos de sombra. Único ser nas cercanias, a mulher é magra, ossuda, seu rosto está lanhado de vento. Não se vê o cabelo, coberto por um pano desidratado. Mas seus olhos, a boca, a pele – tudo é de uma aridez sufocante. Ela está de pé. A seu lado está uma pedra. O sol explode.
Ela estava de pé no fim do mundo. Como se andasse para aquela baixada largando para trás suas noções de si mesma. Não tem retratos na memória. Desapossada e despojada, não se abate em autoacusações e remorsos. Vive.
Sua sombra somente é que lhe faz companhia. Sua sombra, que se derrama em traços grossos na areia, é que adoça como um gesto a claridade esquelética. A mulher esvaziada emudece, se dessangra, se cristaliza, se mineraliza. Já é quase de pedra como a pedra a seu lado. Mas os traços de sua sombra caminham e, tornando-se mais longos e finos, esticam-se para os farrapos de sombra da ossatura da árvore, com os quais se enlaçam.
FRÓES, L. Vertigens: obra reunida. Rio de Janeiro: Rocco, 1998.
Na apresentação da paisagem e da personagem, o narrador estabelece uma correlação de sentidos em que esses elementos se entrelaçam. Nesse processo, a condição humana configura-se
 

Provas

Questão presente nas seguintes provas
1313957 Ano: 2018
Disciplina: Matemática
Banca: ENEM
Orgão: ENEM
Provas:
Um artesão possui potes cilíndricos de tinta cujas medidas externas são 4 cm de diâmetro e 6 cm de altura. Ele pretende adquirir caixas organizadoras para armazenar seus potes de tinta, empilhados verticalmente com tampas voltadas para cima, de forma que as caixas possam ser fechadas.
No mercado, existem cinco opções de caixas organizadoras, com tampa, em formato de paralelepípedo reto retângulo, vendidas pelo mesmo preço, possuindo as seguintes dimensões internas:
enunciado 2132999-1
Qual desses modelos o artesão deve adquirir para conseguir armazenar o maior número de potes por caixa?
 

Provas

Questão presente nas seguintes provas
1309109 Ano: 2018
Disciplina: Estatística
Banca: ENEM
Orgão: ENEM
Provas:
Em um aeroporto, os passageiros devem submeter suas bagagens a uma das cinco máquinas de raio-X disponíveis ao adentrarem a sala de embarque. Num dado instante, o tempo gasto por essas máquinas para escanear a bagagem de cada passageiro e o número de pessoas presentes em cada fila estão apresentados em um painel, como mostrado na figura.
enunciado 2129366-1
Um passageiro, ao chegar à sala de embarque desse aeroporto no instante indicado, visando esperar o menor tempo possível, deverá se dirigir à máquina
 

Provas

Questão presente nas seguintes provas
1306862 Ano: 2018
Disciplina: Matemática
Banca: ENEM
Orgão: ENEM
Provas:
Torneios de tênis, em geral, são disputados em sistema de eliminatória simples. Nesse sistema, são disputadas partidas entre dois competidores, com a eliminação do perdedor e promoção do vencedor para a fase seguinte. Dessa forma, se na 1ª fase o torneio conta com 2n competidores, então na 2ª fase restarão n competidores, e assim sucessivamente até a partida final.
Em um torneio de tênis, disputado nesse sistema, participam 128 tenistas.
Para se definir o campeão desse torneio, o número de partidas necessárias é dado por
 

Provas

Questão presente nas seguintes provas
1306692 Ano: 2018
Disciplina: Sociologia
Banca: ENEM
Orgão: ENEM
Provas:
A primeira fase da dominação da economia sobre a vida social acarretou, no modo de definir toda realização humana, uma evidente degradação do ser para o ter. A fase atual, em que a vida social está totalmente tomada pelos resultados da economia, leva a um deslizamento generalizado do ter para o parecer, do qual todo ter efetivo deve extrair seu prestígio imediato e sua função última. Ao mesmo tempo, toda realidade individual tornou-se social, diretamente dependente da força social, moldada por ela.
DEBORD, G. A sociedade do espetáculo. Rio de Janeiro: Contraponto,2015.
Uma manifestação contemporânea do fenômeno descrito no texto é o(a)
 

Provas

Questão presente nas seguintes provas
1306618 Ano: 2018
Disciplina: Matemática
Banca: ENEM
Orgão: ENEM
Provas:
Durante uma festa de colégio, um grupo de alunos organizou uma rifa. Oitenta alunos faltaram à festa e não participaram da rifa. Entre os que compareceram, alguns compraram três bilhetes, 45 compraram 2 bilhetes, e muitos compraram apenas um. O total de alunos que comprou um único bilhete era 20% do número total de bilhetes vendidos, e o total de bilhetes vendidos excedeu em 33 o número total de alunos do colégio.
Quantos alunos compraram somente um bilhete?
 

Provas

Questão presente nas seguintes provas
1302707 Ano: 2018
Disciplina: Português
Banca: ENEM
Orgão: ENEM
Provas:
Mais big do que bang
A comunidade científica mundial recebeu, na semana passada, a confirmação oficial de uma descoberta sobre a qual se falava com enorme expectativa há alguns meses. Pesquisadores do Centro de Astrofisica Harvard-Smithsonian revelaram ter obtido a mais forte evidência até agora de que o universo em que vivemos começou mesmo pelo Big Bang, mas este não foi explosão, e sim uma súbita expansão de matéria e energia infinitas concentradas em um ponto microscópico que, sem muitas opções semânticas, os cientistas chamam de “singularidade”. Essa semente cósmica permanecia em estado latente e, sem que exista ainda uma explicação definitiva, começou a inchar rapidamente [...]. No intervalo de um piscar de olhos, por exemplo, seria possível, portanto, que ocorressem mais de 10 trilhões de Big Bangs.
ALLEGRETTI, F. Veja, 26 mar.2014 (adaptado).
No título proposto para esse texto de divulgação científica, ao dissociar os elementos da expressão Big Bang, a autora revela a intenção de
 

Provas

Questão presente nas seguintes provas
1300791 Ano: 2018
Disciplina: Química
Banca: ENEM
Orgão: ENEM
Provas:
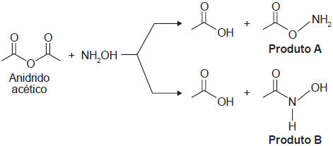
A hidroxilamina (!$ NH_2OH !$) é extremamente reativa em reações de substituição nucleofílica, justificando sua utilização em diversos processos. A reação de substituição nucleofílica entre o anidrido acético e a hidroxilamina está representada.
enunciado 2122518-1
O produto A é favorecido em relação ao B, por um fator de !$ 10^5 !$. Em um estudo de possível substituição do uso de hidroxilamina, foram testadas as móleculas numeradas de 1 a 5.
enunciado 2122518-2
Dentre as moléculas testadas, qual delas apresentou menor reatividade?
 

Provas

Questão presente nas seguintes provas
1297498 Ano: 2018
Disciplina: Português
Banca: ENEM
Orgão: ENEM
Provas:
— Famigerado? [...]
— Famigerado é “inóxio”, é “célebre”, “notório”, “notável”...
— Vosmecê mal não veja em minha grossaria no não entender. Mais me diga: é desaforado? É caçoável? É de arrenegar? Farsância? Nome de ofensa?
— Vilta nenhuma, nenhum doesto. São expressões neutras, de outros usos...
— Pois... e o que é que é, em fala de pobre, linguagem de em dia de semana?
— Famigerado? Bem. É: “importante”, que merece louvor, respeito...
ROSA,G. Famigerado. In: Primeiras estórias. Rio de Janeiro: Nova Fronteira, 2001.
Nesse texto, a associação de vocábulos da língua portuguesa a determinados dias da semana remete ao
 

Provas

Questão presente nas seguintes provas