Foram encontradas 185 questões.
Dias depois da morte de D. Mariquinha, Seu Lula, todo de luto, reuniu os negros no pátio da casa-grande e falou para eles. A voz não era mais aquela voz mansa de outros tempos.
Agora Seu Lula era o dono de tudo. O feitor, o negro Deodato, recebera as suas instruções aos gritos. Seu Lula não queria vadiação naquele engenho. Agora, todas as tardes, os negros teriam que rezar as ave-marias. Negro não podia mais andar de reza para S. Cosme e S.
Damião. Aquilo era feitiçaria. [...]
E o feitor Deodato, com a proteção do senhor, começou a tratar a escravatura como um carrasco. O chicote cantava no lombo dos negros, sem piedade. Todos os dias chegavam negros chorando aos pés de D. Amélia, pedindo valia, proteção contra o chicote do Deodato. Afama da maldade do feitor espalhara-se pela várzea. O senhor de engenho do Santa Fé tinha um escravo que matava negro na peia. [...] E o Santa Fé foi ficando assim o engenho sinistro da várzea.
RÊGO, J. L. Fogo morto. Rio de Janeiro: José Olympio, 1989.
A condição dos trabalhadores escravizados do Santa Fé torna-se exponencialmente aflitiva após a morte da senhora do engenho. Nessa passagem, o sofrimento a que se submetem é intensificado pela reação à
Provas
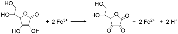
O elemento ferro é essencial em nossa alimentação, pois ajuda a prevenir doenças como a anemia. Normalmente, na alimentação é ingerido na forma de Fe3+, sendo necessário o uso de agentes auxiliares de absorção, como o ácido ascórbico (vitamina C), cuja ação pode ser representada pelo esquema reacional a seguir.

A ação do ácido ascórbico ocorre por meio de uma reação de
Provas
O custo de implantação de redes de transmissão aumenta linearmente com a distância da hidroelétrica, de modo que a partir de uma certa distância, o uso de energia solar fotovoltaica, que não depende da distância, é favorecido. Assim, em regiões isoladas da Amazônia, como é muito caro levar energia elétrica produzida por hidroelétricas através de redes de transmissão, ouso da energia solar fotovoltaica torna-se uma alternativa viável.
Dessa forma, o gráfico que representa qualitativamente os custos do uso de energia solar fotovoltaica (ESF) e da implantação de redes de transmissão (RT) em função da distância é
Provas

DOEDERLEIN, J. O livro dos ressignificados. São Paulo: Parábola, 2017.
Nessa simulação de verbete de dicionário, não há a predominância da função metalinguística da linguagem, como seria de se esperar. Identificam-se elementos que subvertem o gênero por meio da incorporação marcante de características da função
Provas
É possível identificar adulterantes do leite de vaca por meio da adição do indicador azul de bromofenol. A presença de agentes oxidantes provoca a descoloração do indicador, mantendo a cor branca na amostra, característica do leite. Substâncias redutoras presentes no leite reagem com o azul de bromofenol, gerando a cor verde. A diminuição do valor de pH do leite torna o indicador amarelo. Em pH mais elevado, o indicador adquire a cor violeta e, em meio neutro, a cor azul. Considere que um lote industrial de leite em embalagem longa vida foi adulterado com excesso de soda cáustica.
Em uma inspeção sanitária do lote adulterado, qual será a cor apresentada pelo leite após adição do indicador azul de bromofenol?
Provas
Associados a atividades importantes e variadas na evolução das sociedades americanas modernas, os africanos conseguiram impor sua marca nas línguas, culturas, economias, além de participar, quase invariavelmente, na composição étnica das comunidades do Novo Mundo.
A sua influência alcançou mais fortemente as regiões do latifúndio agrícola, em comunidades cujo desenvolvimento ocorreu às margens do Atlântico e do mar das Antilhas, do sudeste dos Estados Unidos até a porção nordeste do Brasil, e ao longo das costas do Pacífico, na Colômbia, no Equador e no Peru.
KNIGHT, F. W. A diáspora africana. In: AJAYI, J. F. A. (Org.). História geral da África:
África do século XIX à década de 1880. Brasília: Unesco, 2010 (adaptado).
Uma das contribuições da diáspora descrita no texto para o continente americano foi o(a)
Provas
O processo de modernização da agricultura brasileira resultou em profundas modificações nas relações sociais, no mundo do trabalho e da produção. Mas a modernização teve também como consequência, num modelo social perverso como o nosso, a permanência da concentração da terra, o êxodo rural, aumentou o processo de assalariamento para o homem rural, concentrou capitais e gerou um processo de industrialização da agricultura, direcionada para atender às demandas do capital nacional e internacional.
MENEZES NETO, A. J. Educação, sindicalismo e novas tecnologias nos processos sociais agrários. Disponível em:
www.senac.br. Acesso em: 10 fev. 2014.
Nesse contexto, o processo apresentado revela contradições no espaço agrário brasileiro decorrentes da expansão da
Provas
No projeto de uma nova máquina, um engenheiro encomendou a um torneiro mecânico a fabricação de uma peça, obtida a partir do recorte em um cubo, como ilustrado na figura. Para isso, o torneiro forneceu, juntamente com o desenho tridimensional da peça, suas vistas frontal, lateral e superior, a partir das posições indicadas na figura. Para facilitar o trabalho do torneiro, as arestas dos cortes que ficam ocultos nas três vistas devem ser representadas por segmentos tracejados, quando for o caso.

As vistas frontal, lateral e superior que melhor representam o desenho entregue ao torneiro são
Provas
Há um tempo, belas e boas são todas as ações justas e virtuosas. Os que as conhecem nada podem preferir-lhes. Os que não as conhecem, não somente não podem praticá-las como, se o tentam, só cometem erros. Assim praticam os sábios atos belos e bons, enquanto os que não o são só podem descambar em faltas. E se nada se faz justo, belo e bom que não pela virtude, claro é que na sabedoria se resumem a justiça e todas as mais virtudes.
XENOFONTE. Ditos e feitos memoráveis de Sócrates. Apud CHALITA, G. Vivendo a filosofia.
São Paulo: Ática, 2005.
Ao fazer referência ao conteúdo moral da filosofia socrática narrada por Xenofonte, o texto indica que a vida virtuosa está associada à
Provas
Na América do Sul, a principal orientação dos investimentos nas últimas décadas foi direcionada para aumentar a oferta de commodities agropecuárias e minerais no mercado mundial. Grande parte dessas commodities está sendo consumida na China e na Índia, que são países que apresentam um rápido crescimento urbano com uma substancial mudança da distribuição territorial de suas numerosas populações. Soja, minério de ferro, alumínio, petróleo e, mais recentemente, biocombustíveis integram a pauta de exportações das nações sul-americanas.
EGLER, C. G. Crise, mudanças globais e inserção da América do Sul na economia mundial.
In: VIDEIRA, S. L.; COSTA, P. A.; FAJARDO, S. (Org.).Geografia econômica:
(re)leituras contemporâneas. Rio de Janeiro: Letra Capital, 2011.
O principal risco econômico para os países da América do Sul dependentes da
comercialização dos produtos mencionados no texto é o(a)
Provas
Caderno Container