Foram encontradas 50 questões.
Analise a figura abaixo:

Assinale a alternativa que identifica corretamente a figura.
Provas
Sobre regressão, é correto afirmar:
1. O processo de cálculo é mais difícil para regressão simples do que para regressão múltipla.
2. Para entender os cálculos de regressão múltipla é necessário conhecimento de multiplicação e inversão de matrizes.
3. Na regressão múltipla, supõe-se que a verdadeira relação entre a variável dependente y e as m–1 variáveis independentes x1, x2, …, xm–1 seja dada pela equação:
y = b1x1 + b2x2 + … + bm–1xm–1 + Bm + e
em que e é uma variável aleatória normal com média 0 e variância \( \sigma^2 \) desconhecida.
Assinale a alternativa que indica todas as afirmativas corretas.
Provas
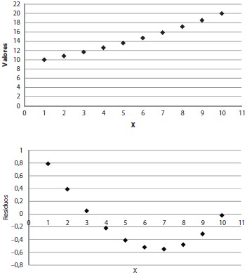
Considerando o seguinte conjunto de dados amostrais dos diagramas de dispersão utilizado para análise dos resíduos.

Com base nos dados acima, analise as afirmativas abaixo:
1. As hipóteses do modelo de regressão foram satisfeitas.
2. O gráfico dos resíduos se apresenta como um conjunto de pontos aleatórios.
3. Há evidência de que o modelo subjacente pode não ser linear.
Assinale a alternativa que indica todas as afirmativas corretas.
Provas
Símbolo do coeficiente de determinação múltipla:
Provas
Considere o seguinte conjunto de dados amostrais:
Tabela Resultado da mortalidade de pragas (aplicação de inseticida).
|
Ensaios tratados |
Ensaios não tratados | Ensaios tratados |
Ensaios não tratados |
| 18 | 23 | 18 | 25 |
| 6 | 12 | 19 | 24 |
| 6 | 14 | 17 | 14 |
| 5 | 23 | 6 | 23 |
| 4 | 13 | 21 | 24 |
| 6 | 13 | 11 | 27 |
| 5 | 14 | 18 | 24 |
O pesquisador:
1. Poderá utilizar análise de variância para avaliar estatisticamente e com eficácia as possíveis diferenças significativas entre os ensaios tratados e não tratados.
2. Deverá utilizar testes não paramétricos para tratar os dados.
3. Deverá utilizar delineamento experimental para avaliar a influência do tratamento na mortalidade de pragas.
Assinale a alternativa que indica todas as afirmativas corretas.
Provas
Considerando análise estatística em ambiente R, as funções read.dbf(); read.epiinfo(); read.mtp(); read.S() podem ser utilizadas para:
Provas
Considerando análise estatística em ambiente R, quando o usuário desejar listar conjuntos de dados disponíveis, pode ser utilizada a função:
Provas
Analise o quadro abaixo (tratamentos e valores obtidos experimentalmente).
|
Tratamentos |
|||
| A | B | C | D |
| 25 | 22 | 27 | 29 |
| 26 | 23 | 26 | 28 |
| 25 | 24 | 26 | 29 |
| 25 | 25 | 26 | 28 |
| 26 | 27 | 26 | 29 |
| 27 | 25 | 27 | 29 |
| 26 | 25 | 27 | 28 |
| 27 | 25 | 25 | 27 |
| 28 | 24 | 28 | 28 |
| 27 | 24 | 26 | 29 |
| 26 | 22 | 26 | 28 |
Considerando-se a análise de variância, assinale a alternativa que indica corretamente quantos graus de liberdade dos resíduos o quadro apresenta.
Provas
Analise as afirmativas abaixo sobre experimentos fatoriais:
1. Um experimento fatorial 23 estuda três fatores em dois níveis.
2. Um experimento fatorial 23 estuda dois fatores em três níveis.
3. Um experimento fatorial 23 estuda um fator de dois níveis e outro fator com três níveis.
4. Um experimento fatorial 2\( \times \)2 estuda dois fatores em dois níveis.
Assinale a alternativa que indica todas as afirmativas corretas.
Provas
Analise as afirmativas abaixo:
1. A estimativa por máxima verossimilhança é um método utilizado para estimar os parâmetros de um modelo estatístico, pois estima valores para os diferentes parâmetros do modelo a partir de um conjunto de dados.
2. O Método dos Mínimos Quadrados é uma técnica de otimização matemática que procura identificar o melhor ajuste para um conjunto de dados, tentando minimizar a soma dos quadrados das diferenças entre o valor estimado e os dados observados.
3. Para utilização do método dos mínimos quadrados em estatística, o erro deve ser distribuído aleatoriamente (distribuição normal e independente).
Assinale a alternativa que indica todas as afirmativas corretas.
Provas
Caderno Container